1. Дана функция u(M) = u(x, y, z) и точки M1, M2. Вычислить: 1) производную этой функции в точке M1 по направлению вектора M1M2; 2) grad u(M1)
1.12. u(M) = y2z – 2xyz + z2, M1(3, 1, –1), M2(–2, 1, 4)
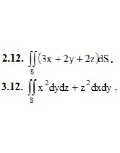
2. Вычислить поверхностный интеграл первого рода по поверхности S, где S – часть плоскости (p), отсеченная координатными плоскостями.
(p): 3x + 2y + 2z = 6
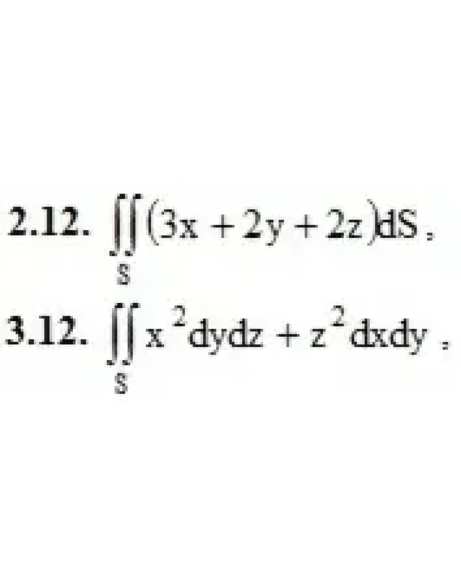
3. Вычислить поверхностный интеграл второго рода.
где S – часть поверхности конуса z2 = x2 + y2 (нормальный вектор n которой образует тупой угол с ортом k), лежащая между плоскостями z = 0, z = 1.
4. Вычислить поток векторного поля a(M) через внешнюю поверхность пирамиды, образуемую плоскостью (p) и координатными плоскостями, двумя способами: а) использовав определение потока; б) с помощью формулы Остроградского – Гаусса.
4.12. а(M) = xi + (y – 2z)j + (2x – y + 2z)k, (p): x + 2y + 2z = 2
1.12. u(M) = y2z – 2xyz + z2, M1(3, 1, –1), M2(–2, 1, 4)
2. Вычислить поверхностный интеграл первого рода по поверхности S, где S – часть плоскости (p), отсеченная координатными плоскостями.
(p): 3x + 2y + 2z = 6
3. Вычислить поверхностный интеграл второго рода.
где S – часть поверхности конуса z2 = x2 + y2 (нормальный вектор n которой образует тупой угол с ортом k), лежащая между плоскостями z = 0, z = 1.
4. Вычислить поток векторного поля a(M) через внешнюю поверхность пирамиды, образуемую плоскостью (p) и координатными плоскостями, двумя способами: а) использовав определение потока; б) с помощью формулы Остроградского – Гаусса.
4.12. а(M) = xi + (y – 2z)j + (2x – y + 2z)k, (p): x + 2y + 2z = 2




