1. Дана функция u(M) = u(x, y, z) и точки M1, M2. Вычислить: 1) производную этой функции в точке M1 по направлению вектора M1M2; 2) grad u(M1)
1.15. u(M) = x2 + 2y2 – 4z2 – 5, M1(1, 2, 1), M2(–3, –2, 6)
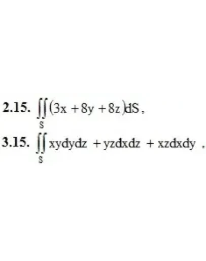
2. Вычислить поверхностный интеграл первого рода по поверхности S, где S – часть плоскости (p), отсеченная координатными плоскостями.
(p): x + 4y + 2z = 8
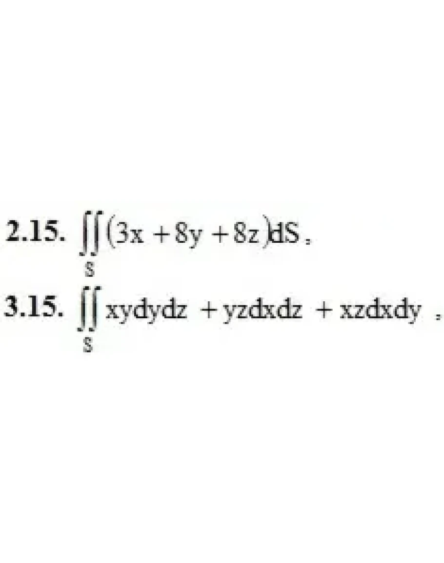
3. Вычислить поверхностный интеграл второго рода.
где S – внешняя сторона сферы x2 + y2 + z2 = 1, лежащая в первом октанте
4. Вычислить поток векторного поля a(M) через внешнюю поверхность пирамиды, образуемую плоскостью (p) и координатными плоскостями, двумя способами: а) использовав определение потока; б) с помощью формулы Остроградского – Гаусса.
4.15. а(M) = (2z – x)i + (x + 2y)j + 3zk, (p): x + 4y + 2z = 8
1.15. u(M) = x2 + 2y2 – 4z2 – 5, M1(1, 2, 1), M2(–3, –2, 6)
2. Вычислить поверхностный интеграл первого рода по поверхности S, где S – часть плоскости (p), отсеченная координатными плоскостями.
(p): x + 4y + 2z = 8
3. Вычислить поверхностный интеграл второго рода.
где S – внешняя сторона сферы x2 + y2 + z2 = 1, лежащая в первом октанте
4. Вычислить поток векторного поля a(M) через внешнюю поверхность пирамиды, образуемую плоскостью (p) и координатными плоскостями, двумя способами: а) использовав определение потока; б) с помощью формулы Остроградского – Гаусса.
4.15. а(M) = (2z – x)i + (x + 2y)j + 3zk, (p): x + 4y + 2z = 8




