1. Дана функция u(M) = u(x, y, z) и точки M1, M2. Вычислить: 1) производную этой функции в точке M1 по направлению вектора M1M2; 2) grad u(M1)
1.22. u(M) = (x2 + y2 + z2)3, M1(1, 2, –1), M2(0, –1, 3)
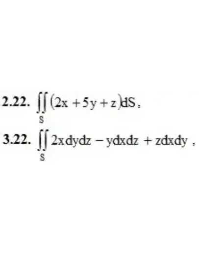
2. Вычислить поверхностный интеграл первого рода по поверхности S, где S – часть плоскости (p), отсеченная координатными плоскостями.
(p): x + y + 2z = 2
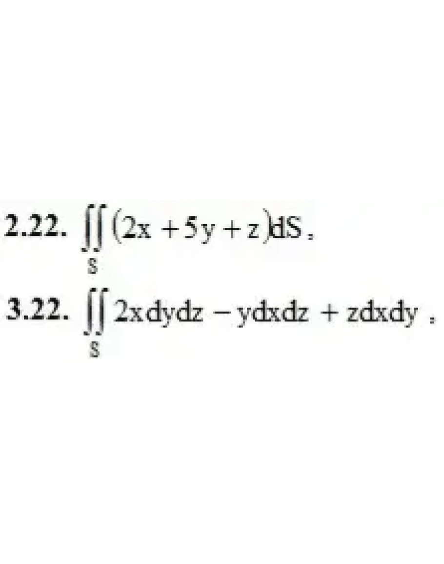
3. Вычислить поверхностный интеграл второго рода.
где S – внешняя сторона замкнутой поверхности, образованной параболоидом 3z = x2 + y2 и полусферой z = √4 – x2 – y2.
4. Вычислить поток векторного поля a(M) через внешнюю поверхность пирамиды, образуемую плоскостью (p) и координатными плоскостями, двумя способами: а) использовав определение потока; б) с помощью формулы Остроградского – Гаусса.
4.22. а(M) = (x + z)i + (x + 3y)j + yk, (p): x + y + 2z = 2
1.22. u(M) = (x2 + y2 + z2)3, M1(1, 2, –1), M2(0, –1, 3)
2. Вычислить поверхностный интеграл первого рода по поверхности S, где S – часть плоскости (p), отсеченная координатными плоскостями.
(p): x + y + 2z = 2
3. Вычислить поверхностный интеграл второго рода.
где S – внешняя сторона замкнутой поверхности, образованной параболоидом 3z = x2 + y2 и полусферой z = √4 – x2 – y2.
4. Вычислить поток векторного поля a(M) через внешнюю поверхность пирамиды, образуемую плоскостью (p) и координатными плоскостями, двумя способами: а) использовав определение потока; б) с помощью формулы Остроградского – Гаусса.
4.22. а(M) = (x + z)i + (x + 3y)j + yk, (p): x + y + 2z = 2




