1. Дана функция u(M) = u(x, y, z) и точки M1, M2. Вычислить: 1) производную этой функции в точке M1 по направлению вектора M1M2; 2) grad u(M1)
1.23. u(M) = (x – y)z, M1(1, –5, 0), M2(3, 7, –2)
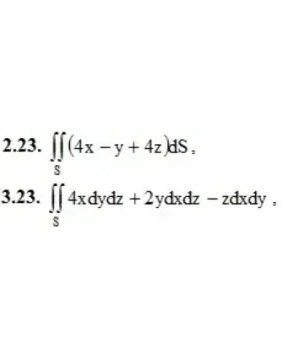
2. Вычислить поверхностный интеграл первого рода по поверхности S, где S – часть плоскости (p), отсеченная координатными плоскостями.
(p): 2x + 2y + z = 4
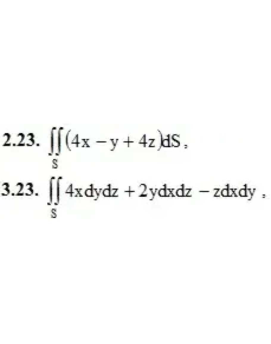
3. Вычислить поверхностный интеграл второго рода.
где S – внешняя сторона сферы x2 + y2 + z2 = 4
4. Вычислить поток векторного поля a(M) через внешнюю поверхность пирамиды, образуемую плоскостью (p) и координатными плоскостями, двумя способами: а) использовав определение потока; б) с помощью формулы Остроградского – Гаусса.
4.23. а(M) = (x + z)i + zj + (2x – y)k, (p): 2x + 2y + z = 4
1.23. u(M) = (x – y)z, M1(1, –5, 0), M2(3, 7, –2)
2. Вычислить поверхностный интеграл первого рода по поверхности S, где S – часть плоскости (p), отсеченная координатными плоскостями.
(p): 2x + 2y + z = 4
3. Вычислить поверхностный интеграл второго рода.
где S – внешняя сторона сферы x2 + y2 + z2 = 4
4. Вычислить поток векторного поля a(M) через внешнюю поверхность пирамиды, образуемую плоскостью (p) и координатными плоскостями, двумя способами: а) использовав определение потока; б) с помощью формулы Остроградского – Гаусса.
4.23. а(M) = (x + z)i + zj + (2x – y)k, (p): 2x + 2y + z = 4




