• Решебник Рябушко. Решенный ИДЗ 15.1, Вариант 27
1. Дана функция u(M) = u(x, y, z) и точки M1, M2. Вычислить: 1) производную этой функции в точке M1 по направлению вектора M1M2; 2) grad u(M1)

1.27. u(M) = x/y + y/z – z/x, M1(–1, 1, 1), M2(2, 3, 4)

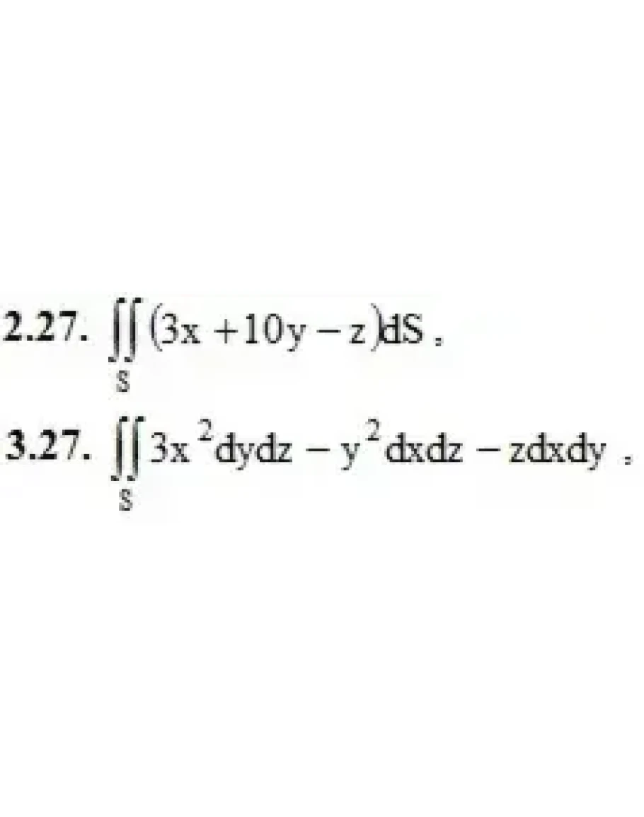
2. Вычислить поверхностный интеграл первого рода по поверхности S, где S – часть плоскости (p), отсеченная координатными плоскостями.

(p): x + 3y + 2z = 6

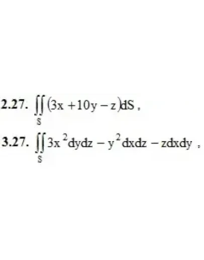
3. Вычислить поверхностный интеграл второго рода.

где S – часть поверхности параболоида 1 – z = x2 + y2 (нормальный вектор n которой образует острый угол с ортом k)

4. Вычислить поток векторного поля a(M) через внешнюю поверхность пирамиды, образуемую плоскостью (p) и координатными плоскостями, двумя способами: а) использовав определение потока; б) с помощью формулы Остроградского – Гаусса.

4.27. а(M) = (2y – z)i + (x + 2y)j + yk, (p): x + 3y + 2z = 6

Написать отзыв

Примечание: HTML разметка не поддерживается! Используйте обычный текст.
   Плохо           Хорошо

Решебник Рябушко. Решенный ИДЗ 15.1, Вариант 27

  • Продавец: Massimo86
  • Модель: 2547400
  • Наличие: Есть в наличии
  • 120р.

Рекомендуемые