1. Дана функция u(M) = u(x, y, z) и точки M1, M2. Вычислить: 1) производную этой функции в точке M1 по направлению вектора M1M2; 2) grad u(M1)
1.29. u(M) = x/y − y/z − x/z, M1(2, 2, 2), M2(–3, 4, 1)
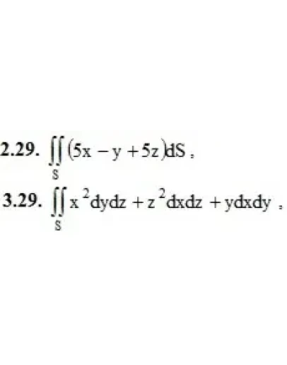
2. Вычислить поверхностный интеграл первого рода по поверхности S, где S – часть плоскости (p), отсеченная координатными плоскостями.
(p): 3x + 2y + z = 6
3. Вычислить поверхностный интеграл второго рода.
где S – часть поверхности параболоида x2 + y2 = 4 – z (нормальный вектор n которой образует острый угол с ортом k), отсекаемая плоскостью z = 0.
4. Вычислить поток векторного поля a(M) через внешнюю поверхность пирамиды, образуемую плоскостью (p) и координатными плоскостями, двумя способами: а) использовав определение потока; б) с помощью формулы Остроградского – Гаусса.
4.29. а(M) = (x + z)i + zj + (2x – y)k, (p): 3x + 2y + z = 6
1.29. u(M) = x/y − y/z − x/z, M1(2, 2, 2), M2(–3, 4, 1)
2. Вычислить поверхностный интеграл первого рода по поверхности S, где S – часть плоскости (p), отсеченная координатными плоскостями.
(p): 3x + 2y + z = 6
3. Вычислить поверхностный интеграл второго рода.
где S – часть поверхности параболоида x2 + y2 = 4 – z (нормальный вектор n которой образует острый угол с ортом k), отсекаемая плоскостью z = 0.
4. Вычислить поток векторного поля a(M) через внешнюю поверхность пирамиды, образуемую плоскостью (p) и координатными плоскостями, двумя способами: а) использовав определение потока; б) с помощью формулы Остроградского – Гаусса.
4.29. а(M) = (x + z)i + zj + (2x – y)k, (p): 3x + 2y + z = 6




