• Решебник Рябушко. Решенный ИДЗ 15.1, Вариант 30
1. Дана функция u(M) = u(x, y, z) и точки M1, M2. Вычислить: 1) производную этой функции в точке M1 по направлению вектора M1M2; 2) grad u(M1)

1.30. u(M) = ex – yz, M1(1, 0, 3), M2(2, –4, 5)

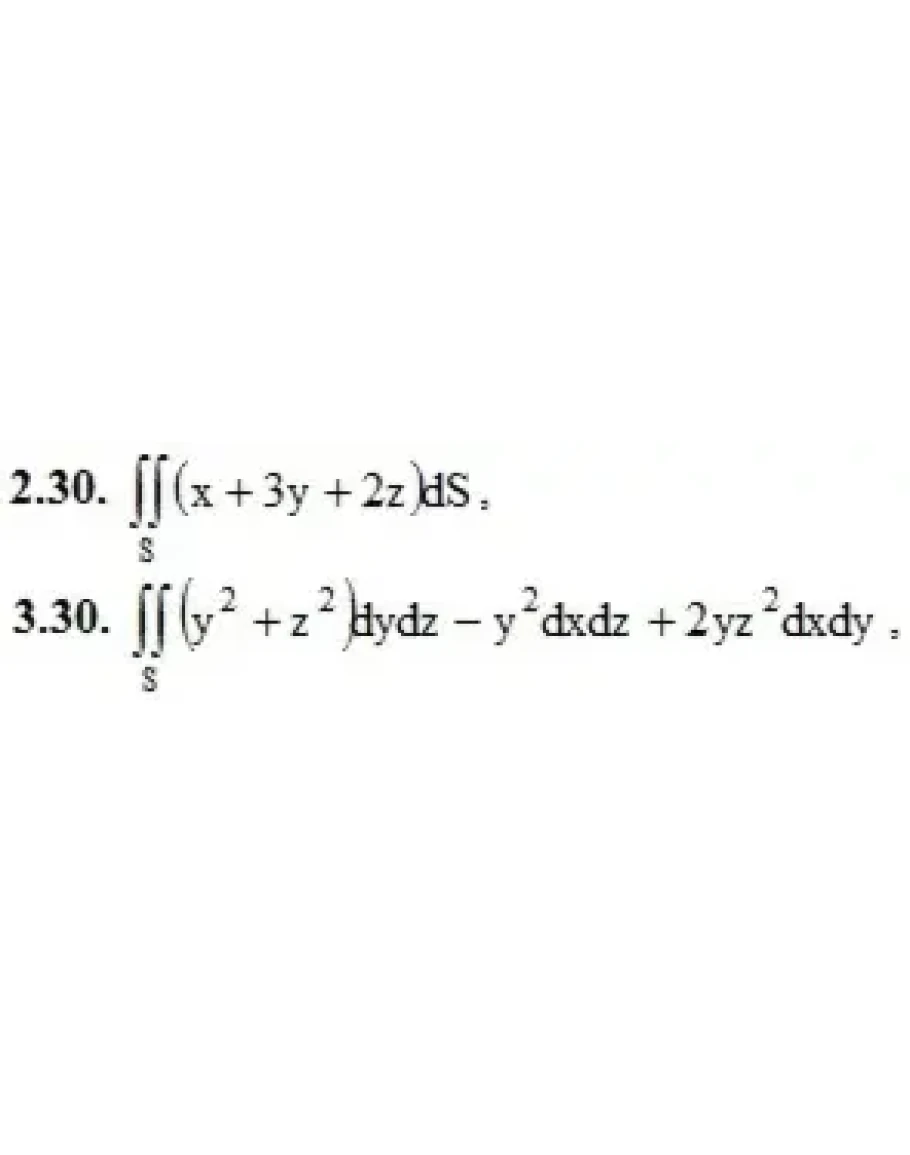
2. Вычислить поверхностный интеграл первого рода по поверхности S, где S – часть плоскости (p), отсеченная координатными плоскостями.

(p): 2x + y + 2z = 2

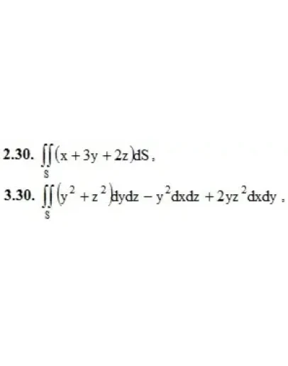
3. Вычислить поверхностный интеграл второго рода.

где S – часть поверхности конуса x2 + z2 = y2 (нормальный вектор n которой образует тупой угол с ортом j), отсекаемая плоскостями y = 0 и y = 1.

4. Вычислить поток векторного поля a(M) через внешнюю поверхность пирамиды, образуемую плоскостью (p) и координатными плоскостями, двумя способами: а) использовав определение потока; б) с помощью формулы Остроградского – Гаусса.

4.30. а(M) = zi + (x + y)j + yk, (p): 2x + y + 2z = 2

Написать отзыв

Примечание: HTML разметка не поддерживается! Используйте обычный текст.
   Плохо           Хорошо

Решебник Рябушко. Решенный ИДЗ 15.1, Вариант 30

  • Продавец: Massimo86
  • Модель: 2547403
  • Наличие: Есть в наличии
  • 120р.

Рекомендуемые