1. Дана функция u(M) = u(x, y, z) и точки M1, M2. Вычислить: 1) производную этой функции в точке M1 по направлению вектора M1M2; 2) grad u(M1)
1.3. u(M) = ln(x2 + y2 + z2), M1(−1, 2, 1), M2(3, 1, −1)
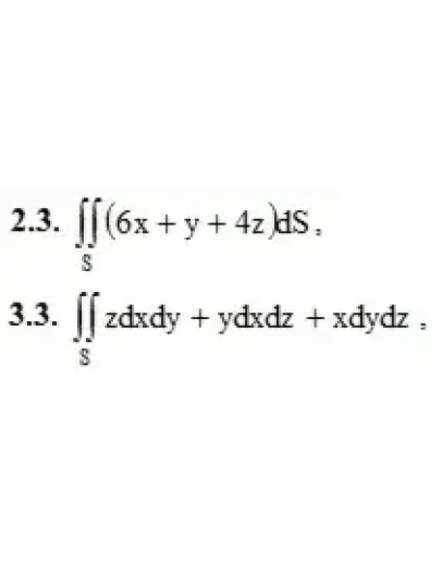
2. Вычислить поверхностный интеграл первого рода по поверхности S, где S – часть плоскости (p), отсеченная координатными плоскостями.
(p): 3x + 3y + z = 3
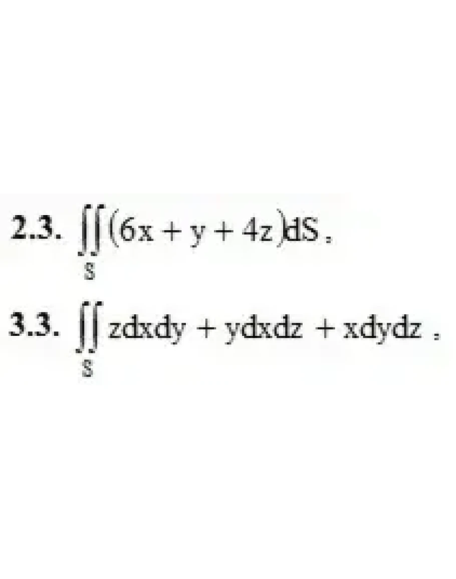
3. Вычислить поверхностный интеграл второго рода.
где S – внешняя сторона поверхности куба, ограниченного плоскостями x = 0, y = 0, z = 0, x = 1, y = 1, z = 1
4. Вычислить поток векторного поля a(M) через внешнюю поверхность пирамиды, образуемую плоскостью (p) и координатными плоскостями, двумя способами: а) использовав определение потока; б) с помощью формулы Остроградского – Гаусса.
4.3. а(M) = xi + (x + z)j + (y + z)k, (p): 3x + 3y + z = 3
1.3. u(M) = ln(x2 + y2 + z2), M1(−1, 2, 1), M2(3, 1, −1)
2. Вычислить поверхностный интеграл первого рода по поверхности S, где S – часть плоскости (p), отсеченная координатными плоскостями.
(p): 3x + 3y + z = 3
3. Вычислить поверхностный интеграл второго рода.
где S – внешняя сторона поверхности куба, ограниченного плоскостями x = 0, y = 0, z = 0, x = 1, y = 1, z = 1
4. Вычислить поток векторного поля a(M) через внешнюю поверхность пирамиды, образуемую плоскостью (p) и координатными плоскостями, двумя способами: а) использовав определение потока; б) с помощью формулы Остроградского – Гаусса.
4.3. а(M) = xi + (x + z)j + (y + z)k, (p): 3x + 3y + z = 3




