• Решебник Рябушко. Решенный ИДЗ 15.1, Вариант 9
1. Дана функция u(M) = u(x, y, z) и точки M1, M2. Вычислить: 1) производную этой функции в точке M1 по направлению вектора M1M2; 2) grad u(M1)

1.9. u(M) = 3xy2 + z2 – xyz, M1(1, 1, 2), M2(3, –1, 4)

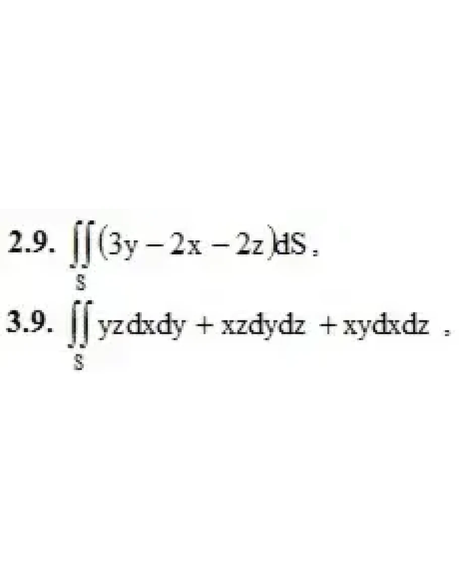
2. Вычислить поверхностный интеграл первого рода по поверхности S, где S – часть плоскости (p), отсеченная координатными плоскостями.

(p): 2x – y – 2z = –2

3. Вычислить поверхностный интеграл второго рода.

где S – наружная поверхность цилиндра x2 + y2 = 1, отсеченная плоскостями z = 0, z = 5

4. Вычислить поток векторного поля a(M) через внешнюю поверхность пирамиды, образуемую плоскостью (p) и координатными плоскостями, двумя способами: а) использовав определение потока; б) с помощью формулы Остроградского – Гаусса.

4.9. а(M) = (x + y)i + 3yj + (y – z)k, (p): 2x – y – 2z = –2

Написать отзыв

Примечание: HTML разметка не поддерживается! Используйте обычный текст.
   Плохо           Хорошо

Решебник Рябушко. Решенный ИДЗ 15.1, Вариант 9

  • Продавец: Massimo86
  • Модель: 2547379
  • Наличие: Есть в наличии
  • 120р.

Рекомендуемые