• Решебник Рябушко. Решенный ИДЗ 18.2, Вариант 11
1. Найти закон распределения указанной дискретной CB X и ее функцию распределения F(x). Вычислить математическое ожидание M(X), дисперсию D(X) и среднее квадратичное отклонение σ(X). Построить график функции распределения F(x)

1.11. При установившемся технологическом процессе предприятие выпускает 2/3 своих изделий первым сортом и 1/3 вторым; СВ X – число изделий первого сорта из взятых наугад четырех.

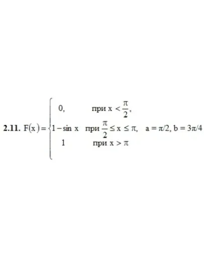
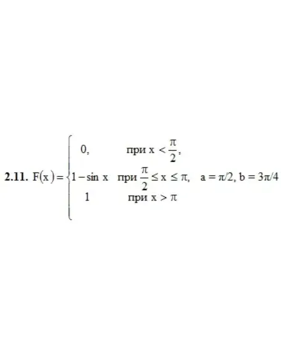
2. Дана функция распределения F(х) СВ X. Найти плотность распределения вероятностей f(x), математическое ожидание М(X), дисперсию D(X) и вероятность попадания СВ X на отрезок [а; b]. Построить графики функций F(х) и f(x).

3. Решить следующие задачи.
3.11. Автобусы некоторого маршрута идут строго по расписанию. Интервал движения – 5 мин. Найти вероятность того, что пассажир, подошедший к остановке, будет ожидать очередной автобус менее 3 мин.

4. Решить следующие задачи.
4.11. Вероятность появления события в одном опыте равна 0,5. Можно ли с вероятностью, большей 0,97, утверждать, что число появлений события в 1000 независимых опытах находится в пределах от 400 до 600?

Написать отзыв

Примечание: HTML разметка не поддерживается! Используйте обычный текст.
   Плохо           Хорошо

Решебник Рябушко. Решенный ИДЗ 18.2, Вариант 11

  • Продавец: Massimo86
  • Модель: 2547493
  • Наличие: Есть в наличии
  • 140р.

Рекомендуемые