1. Найти закон распределения указанной дискретной CB X и ее функцию распределения F(x). Вычислить математическое ожидание M(X), дисперсию D(X) и среднее квадратичное отклонение σ(X). Построить график функции распределения F(x)
1.12. Из партии в 20 изделий, среди которых имеется четыре нестандартных, для проверки качества выбраны случайным образом 3 изделия; СВ X – число нестандартных изделий среди проверяемых.
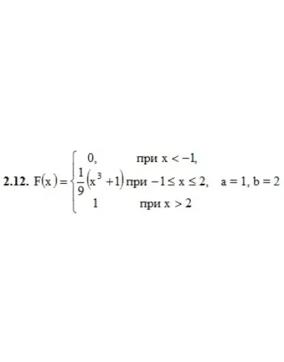
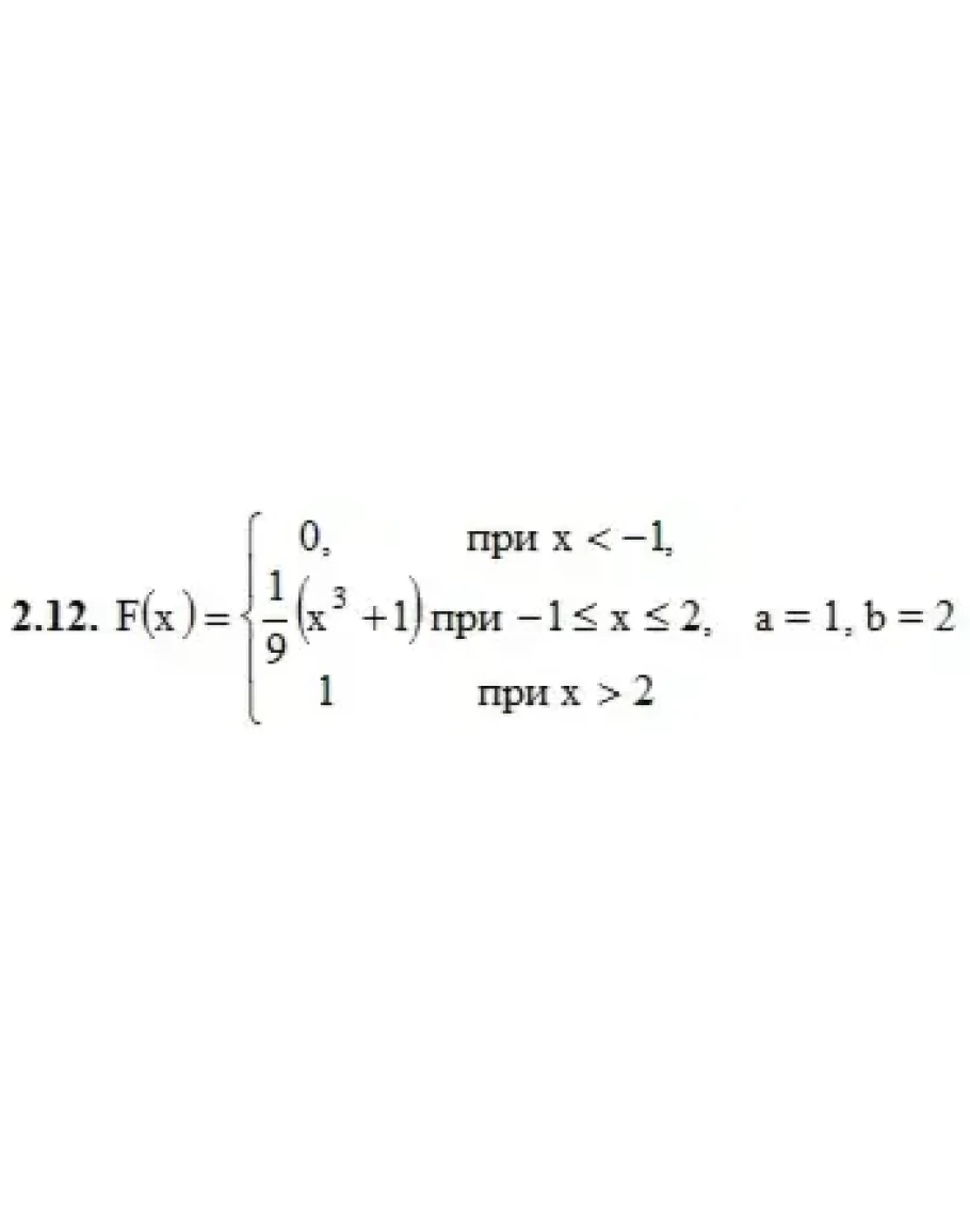
2. Дана функция распределения F(х) СВ X. Найти плотность распределения вероятностей f(x), математическое ожидание М(X), дисперсию D(X) и вероятность попадания СВ X на отрезок [а; b]. Построить графики функций F(х) и f(x).
3. Решить следующие задачи.
3.12. Ребро куба х измерено приближенно: 1 ≤ х ≤ 2. Рассматривая ребро куба как СВ X, распределенную равномерно в интервале (1; 2), найти математическое ожидание и дисперсию объема куба.
4. Решить следующие задачи.
4.12. Вероятность положительного исхода отдельного испытания равна 0,8. Оценить вероятность того, что при 100 независимых повторных испытаниях отклонение частоты положительных исходов от вероятности при отдельном испытании по своей абсолютной величине будет меньше 0,05.
1.12. Из партии в 20 изделий, среди которых имеется четыре нестандартных, для проверки качества выбраны случайным образом 3 изделия; СВ X – число нестандартных изделий среди проверяемых.
2. Дана функция распределения F(х) СВ X. Найти плотность распределения вероятностей f(x), математическое ожидание М(X), дисперсию D(X) и вероятность попадания СВ X на отрезок [а; b]. Построить графики функций F(х) и f(x).
3. Решить следующие задачи.
3.12. Ребро куба х измерено приближенно: 1 ≤ х ≤ 2. Рассматривая ребро куба как СВ X, распределенную равномерно в интервале (1; 2), найти математическое ожидание и дисперсию объема куба.
4. Решить следующие задачи.
4.12. Вероятность положительного исхода отдельного испытания равна 0,8. Оценить вероятность того, что при 100 независимых повторных испытаниях отклонение частоты положительных исходов от вероятности при отдельном испытании по своей абсолютной величине будет меньше 0,05.




