1. Найти закон распределения указанной дискретной CB X и ее функцию распределения F(x). Вычислить математическое ожидание M(X), дисперсию D(X) и среднее квадратичное отклонение σ(X). Построить график функции распределения F(x)
1.18. В первой коробке 10 сальников, из них 2 бракованных, во второй – 16, из них 4 бракованных, в третьей – 12 сальников, из них 3 бракованных; СВ X – число бракованных сальников при условии, что из каждой коробки взято наугад по одному сальнику.
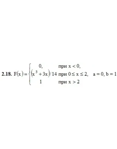
2. Дана функция распределения F(х) СВ X. Найти плотность распределения вероятностей f(x), математическое ожидание М(X), дисперсию D(X) и вероятность попадания СВ X на отрезок [а; b]. Построить графики функций F(х) и f(x).
3. Решить следующие задачи.
3.18. Минутная стрелка часов перемещается скачком в конце каждой минуты. Найти вероятность того, что в данное мгновение часы покажут время, которое отличается от истинного не более чем на 20 с.
4. Решить следующие задачи.
4.18. В результате 200 независимых опытов найдены значения СВ Х1, X2, …, X200 причем М(Х) = D(X) = 2. Оценить сверху вероятности того, что абсолютная величина разности между средним арифметическим значений случайной величины ; и математическим ожиданием меньше 0,2.
1.18. В первой коробке 10 сальников, из них 2 бракованных, во второй – 16, из них 4 бракованных, в третьей – 12 сальников, из них 3 бракованных; СВ X – число бракованных сальников при условии, что из каждой коробки взято наугад по одному сальнику.
2. Дана функция распределения F(х) СВ X. Найти плотность распределения вероятностей f(x), математическое ожидание М(X), дисперсию D(X) и вероятность попадания СВ X на отрезок [а; b]. Построить графики функций F(х) и f(x).
3. Решить следующие задачи.
3.18. Минутная стрелка часов перемещается скачком в конце каждой минуты. Найти вероятность того, что в данное мгновение часы покажут время, которое отличается от истинного не более чем на 20 с.
4. Решить следующие задачи.
4.18. В результате 200 независимых опытов найдены значения СВ Х1, X2, …, X200 причем М(Х) = D(X) = 2. Оценить сверху вероятности того, что абсолютная величина разности между средним арифметическим значений случайной величины ; и математическим ожиданием меньше 0,2.




