1. Найти закон распределения указанной дискретной CB X и ее функцию распределения F(x). Вычислить математическое ожидание M(X), дисперсию D(X) и среднее квадратичное отклонение σ(X). Построить график функции распределения F(x)
1.1. Автомобиль должен проехать по улице, на которой установлено четыре независимо работающих светофора. Каждый светофор с интервалом в 2 мин подает красный и зеленый сигналы; СВ X – число остановок автомобиля на этой улице.
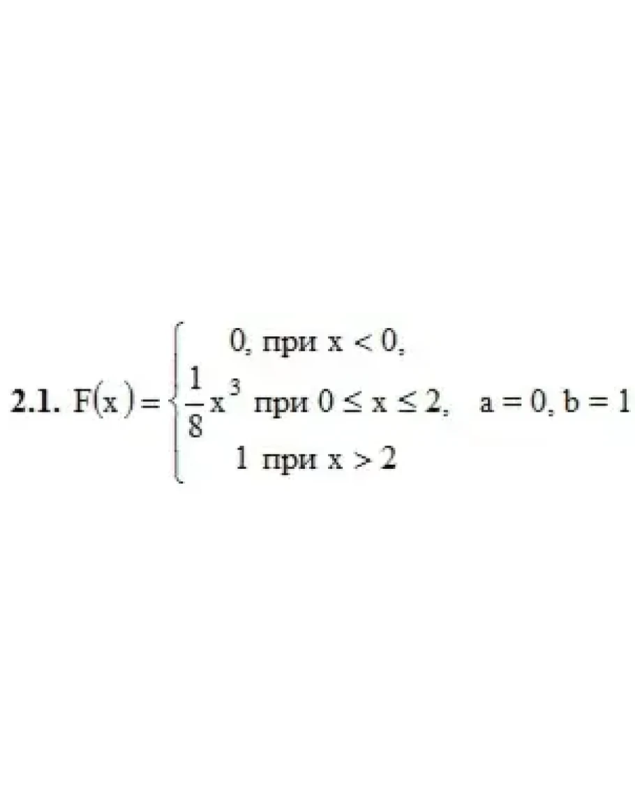
2. Дана функция распределения F(х) СВ X. Найти плотность распределения вероятностей f(x), математическое ожидание М(X), дисперсию D(X) и вероятность попадания СВ X на отрезок [а; b]. Построить графики функций F(х) и f(x).
3. Решить следующие задачи.
3.1. Валик, изготовлений автоматом, считается стандартным, если отклонение его диаметра от проектного размера не превышает 2 мм. Случайные отклонения диаметров валиков подчиняются нормальному закону со средним квадратичным отклонением 1,6 мм и математическим ожиданием, равным 0. Сколько стандартных валиков (в процентах) изготавливает автомат?
4. Решить следующие задачи.
4.1. Для определения качества производимой заводом продукции отобрано наугад 2500 изделий. Среди них оказалось 50 с дефектами. Частота изготовления бракованных изделий принята за приближенное значение вероятности изготовления бракованного изделия. Определить, с какой вероятностью можно гарантировать, что допущенная при этом абсолютная погрешность не будет превышать 0,02.
1.1. Автомобиль должен проехать по улице, на которой установлено четыре независимо работающих светофора. Каждый светофор с интервалом в 2 мин подает красный и зеленый сигналы; СВ X – число остановок автомобиля на этой улице.
2. Дана функция распределения F(х) СВ X. Найти плотность распределения вероятностей f(x), математическое ожидание М(X), дисперсию D(X) и вероятность попадания СВ X на отрезок [а; b]. Построить графики функций F(х) и f(x).
3. Решить следующие задачи.
3.1. Валик, изготовлений автоматом, считается стандартным, если отклонение его диаметра от проектного размера не превышает 2 мм. Случайные отклонения диаметров валиков подчиняются нормальному закону со средним квадратичным отклонением 1,6 мм и математическим ожиданием, равным 0. Сколько стандартных валиков (в процентах) изготавливает автомат?
4. Решить следующие задачи.
4.1. Для определения качества производимой заводом продукции отобрано наугад 2500 изделий. Среди них оказалось 50 с дефектами. Частота изготовления бракованных изделий принята за приближенное значение вероятности изготовления бракованного изделия. Определить, с какой вероятностью можно гарантировать, что допущенная при этом абсолютная погрешность не будет превышать 0,02.




