1. Найти закон распределения указанной дискретной CB X и ее функцию распределения F(x). Вычислить математическое ожидание M(X), дисперсию D(X) и среднее квадратичное отклонение σ(X). Построить график функции распределения F(x)
1.20. Вероятность выигрыша по одному билету лотереи равна 1/6; СВ X – число выигрышных билетов из четырех.
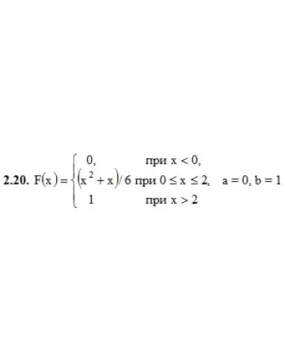
2. Дана функция распределения F(х) СВ X. Найти плотность распределения вероятностей f(x), математическое ожидание М(X), дисперсию D(X) и вероятность попадания СВ X на отрезок [а; b]. Построить графики функций F(х) и f(x).
3. Решить следующие задачи.
3.20. Число атак истребителей, которым может подвергнуться бомбардировщик над территорией противника, есть случайная величина, распределенная по закону Пуассона с математическим ожиданием а = 3. Каждая атака с вероятностью 0,4 заканчивается поражением бомбардировщика. Определить вероятность поражения бомбардировщика в результате трех атак.
4. Решить следующие задачи.
4.20. Для определения средней урожайности поля в 10 000 га предполагается взять на выборку по одному квадратному метру с каждого гектара площади и точно подсчитать урожайность с этих квадратных метров. Оценить вероятность того, что средняя выборочная урожайность будет отличаться от истинной средней урожайности на всем массиве не более чем на 0,1 ц, если предположить, что среднее квадратичное отклонение урожайности не превышает 3 ц?
1.20. Вероятность выигрыша по одному билету лотереи равна 1/6; СВ X – число выигрышных билетов из четырех.
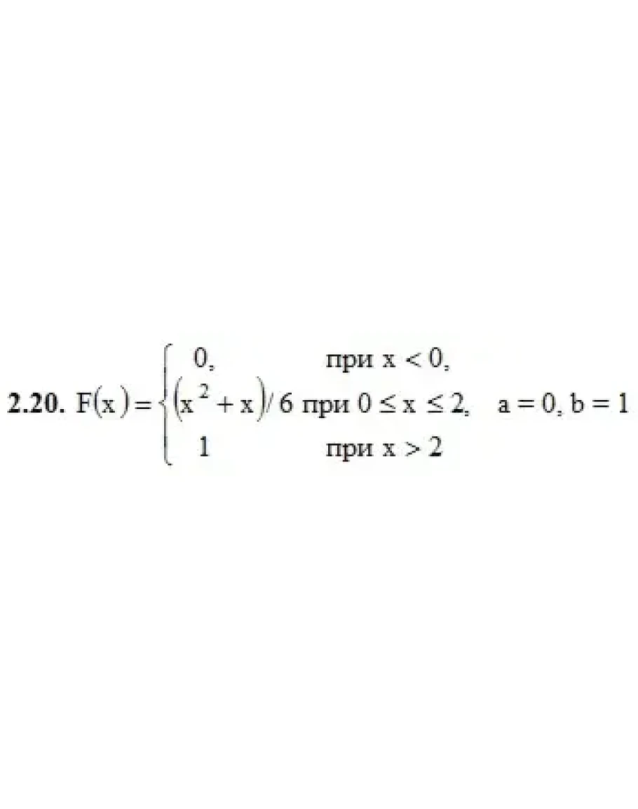
2. Дана функция распределения F(х) СВ X. Найти плотность распределения вероятностей f(x), математическое ожидание М(X), дисперсию D(X) и вероятность попадания СВ X на отрезок [а; b]. Построить графики функций F(х) и f(x).
3. Решить следующие задачи.
3.20. Число атак истребителей, которым может подвергнуться бомбардировщик над территорией противника, есть случайная величина, распределенная по закону Пуассона с математическим ожиданием а = 3. Каждая атака с вероятностью 0,4 заканчивается поражением бомбардировщика. Определить вероятность поражения бомбардировщика в результате трех атак.
4. Решить следующие задачи.
4.20. Для определения средней урожайности поля в 10 000 га предполагается взять на выборку по одному квадратному метру с каждого гектара площади и точно подсчитать урожайность с этих квадратных метров. Оценить вероятность того, что средняя выборочная урожайность будет отличаться от истинной средней урожайности на всем массиве не более чем на 0,1 ц, если предположить, что среднее квадратичное отклонение урожайности не превышает 3 ц?




