1. Найти закон распределения указанной дискретной CB X и ее функцию распределения F(x). Вычислить математическое ожидание M(X), дисперсию D(X) и среднее квадратичное отклонение σ(X). Построить график функции распределения F(x)
1.26. Вероятность попадания мячом в корзину при каждом броске для данного баскетболиста равна 0,4; СВ X – число попадания при четырех бросках.
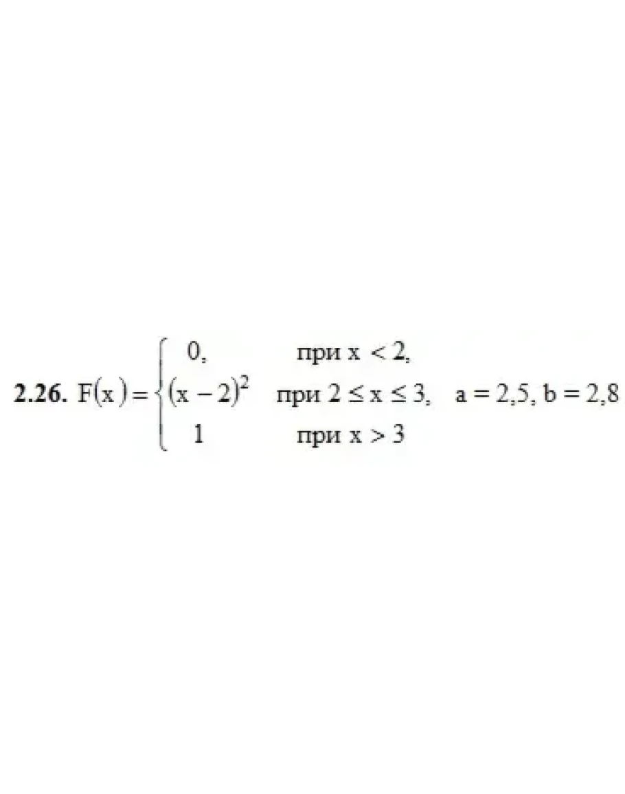
2. Дана функция распределения F(х) СВ X. Найти плотность распределения вероятностей f(x), математическое ожидание М(X), дисперсию D(X) и вероятность попадания СВ X на отрезок [а; b]. Построить графики функций F(х) и f(x).
3. Решить следующие задачи.
3.26. Найти математическое ожидание и дисперсию: а) числа очков, выпавших при одном бросании игральной кости; б) суммы очков, выпавших при бросании двух игральных костей.
4. Решить следующие задачи.
4.26. Математическое ожидание количества выпадающих в течение года в данной местности осадков составляет 55 см. Оценить вероятность того, что в этой местности осадков выпадет более 175 см.
1.26. Вероятность попадания мячом в корзину при каждом броске для данного баскетболиста равна 0,4; СВ X – число попадания при четырех бросках.
2. Дана функция распределения F(х) СВ X. Найти плотность распределения вероятностей f(x), математическое ожидание М(X), дисперсию D(X) и вероятность попадания СВ X на отрезок [а; b]. Построить графики функций F(х) и f(x).
3. Решить следующие задачи.
3.26. Найти математическое ожидание и дисперсию: а) числа очков, выпавших при одном бросании игральной кости; б) суммы очков, выпавших при бросании двух игральных костей.
4. Решить следующие задачи.
4.26. Математическое ожидание количества выпадающих в течение года в данной местности осадков составляет 55 см. Оценить вероятность того, что в этой местности осадков выпадет более 175 см.




