• Решебник Рябушко. Решенный ИДЗ 18.2, Вариант 2
1. Найти закон распределения указанной дискретной CB X и ее функцию распределения F(x). Вычислить математическое ожидание M(X), дисперсию D(X) и среднее квадратичное отклонение σ(X). Построить график функции распределения F(x)

1.2. Производят три выстрела по мишени. Вероятность поражения мишени первым выстрелом равна 0,4, вторым – 0,5, третьим – 0,6; СВ X – число поражений мишени.

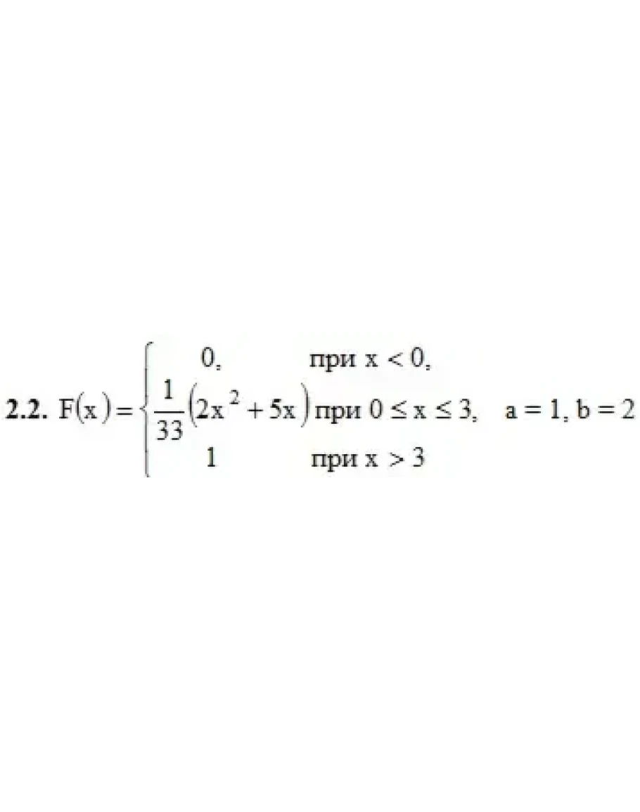
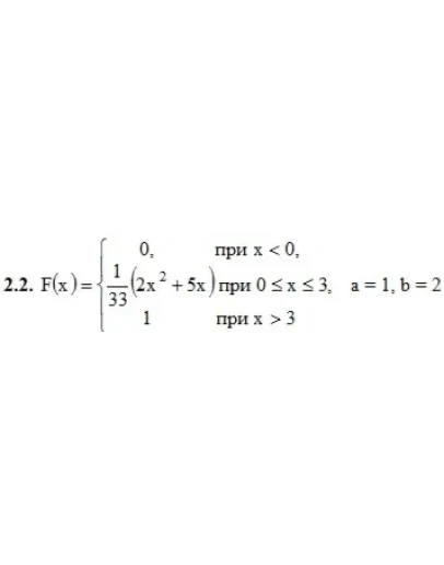
2. Дана функция распределения F(х) СВ X. Найти плотность распределения вероятностей f(x), математическое ожидание М(X), дисперсию D(X) и вероятность попадания СВ X на отрезок [а; b]. Построить графики функций F(х) и f(x).

3. Решить следующие задачи.
3.2. При определении расстояния радиолокатором случайные ошибки распределяются по нормальному закону. Какова вероятность того, что ошибка при определении расстояния не превысит 20 м, если известно, что систематических ошибок радиолокатор не допускает, а дисперсия ошибок равна 1370 м2?

4. Решить следующие задачи.
4.2. Дисперсия каждой из 4500 независимых и одинаково распределенных случайных величин равна 5. Найти вероятность того, что среднее арифметическое этих случайных величин отклонится от своего математического ожидания не более чем на 0,04.

Написать отзыв

Примечание: HTML разметка не поддерживается! Используйте обычный текст.
   Плохо           Хорошо

Решебник Рябушко. Решенный ИДЗ 18.2, Вариант 2

  • Продавец: Massimo86
  • Модель: 2547483
  • Наличие: Есть в наличии
  • 140р.

Рекомендуемые