1. Найти закон распределения указанной дискретной CB X и ее функцию распределения F(x). Вычислить математическое ожидание M(X), дисперсию D(X) и среднее квадратичное отклонение σ(X). Построить график функции распределения F(x)
1.7. Вероятность попадания в цель при одном выстреле равна 0,8; СВ X – число попаданий в цель при трех выстрелах.
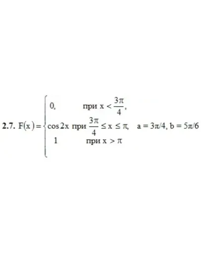
2. Дана функция распределения F(х) СВ X. Найти плотность распределения вероятностей f(x), математическое ожидание М(X), дисперсию D(X) и вероятность попадания СВ X на отрезок [а; b]. Построить графики функций F(х) и f(x).
3. Решить следующие задачи.
3.7. В лотерее разыгрываются мотоцикл, велосипед и одни часы. Найти математическое ожидание выигрыша для лица, имеющего один билет, если общее количество билетов равно 100.
4. Решить следующие задачи.
4.7. Производится выборочный контроль партии электролампочек для определения средней продолжительности их горения. Каким должен быть объем выборки, чтобы с вероятностью, не меньшей 0,9876, можно было утверждать, что средняя продолжительность эксплуатации лампочки по всей партии отклонилась от средней, полученной в выборке, не более чем на 10 ч, если среднее квадратичное отклонение продолжительности эксплуатации лампочки равно 80 ч?
1.7. Вероятность попадания в цель при одном выстреле равна 0,8; СВ X – число попаданий в цель при трех выстрелах.
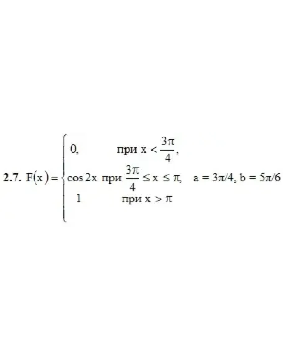
2. Дана функция распределения F(х) СВ X. Найти плотность распределения вероятностей f(x), математическое ожидание М(X), дисперсию D(X) и вероятность попадания СВ X на отрезок [а; b]. Построить графики функций F(х) и f(x).
3. Решить следующие задачи.
3.7. В лотерее разыгрываются мотоцикл, велосипед и одни часы. Найти математическое ожидание выигрыша для лица, имеющего один билет, если общее количество билетов равно 100.
4. Решить следующие задачи.
4.7. Производится выборочный контроль партии электролампочек для определения средней продолжительности их горения. Каким должен быть объем выборки, чтобы с вероятностью, не меньшей 0,9876, можно было утверждать, что средняя продолжительность эксплуатации лампочки по всей партии отклонилась от средней, полученной в выборке, не более чем на 10 ч, если среднее квадратичное отклонение продолжительности эксплуатации лампочки равно 80 ч?




