• Решебник Рябушко. Решенный ИДЗ 18.2, Вариант 9
1. Найти закон распределения указанной дискретной CB X и ее функцию распределения F(x). Вычислить математическое ожидание M(X), дисперсию D(X) и среднее квадратичное отклонение σ(X). Построить график функции распределения F(x)

1.9. Вероятность сдачи данного экзамена для каждого из четырех студентов равна 0,8; СВ X – число студентов, сдавших экзамен.

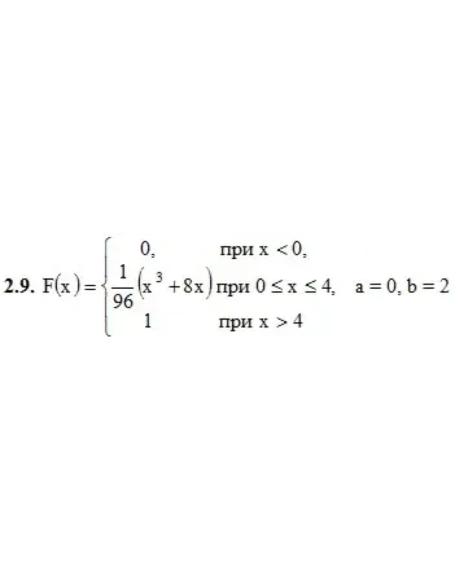
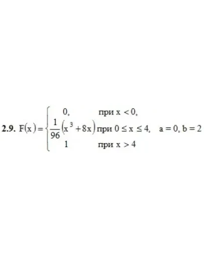
2. Дана функция распределения F(х) СВ X. Найти плотность распределения вероятностей f(x), математическое ожидание М(X), дисперсию D(X) и вероятность попадания СВ X на отрезок [а; b]. Построить графики функций F(х) и f(x).

3. Решить следующие задачи.
3.9. Детали, выпускаемые цехом, имеют диаметры, распределенные по нормальному закону с математическим ожиданием, равным 5 см, и дисперсией, равной 0,81 см2. Найти вероятность того, что диаметр наугад взятой детали - от 4 до 7 см.

4. Решить следующие задачи.
4.9. Сколько надо произвести опытов, чтобы с вероятностью 0,9 утверждать, что частота интересующего нас события будет отличаться от вероятности появления этого события, равной 0,4, не более чем на 0,1?

Написать отзыв

Примечание: HTML разметка не поддерживается! Используйте обычный текст.
   Плохо           Хорошо

Решебник Рябушко. Решенный ИДЗ 18.2, Вариант 9

  • Продавец: Massimo86
  • Модель: 2547491
  • Наличие: Есть в наличии
  • 140р.

Рекомендуемые