1. Даны четыре точки A1(x1, y1, z1), A2(x2, y2, z2), A3(x3, y3, z3), A4(x4, y4, z4)
Составить уравнения:
а) плоскости А1А2А3; б) прямой А1А2;
в) прямой А4М, перпендикулярной к плоскости А1А2А3;
г) прямой А3N, параллельной прямой А1А2;
д) плоскости, проходящей через точку А4 перпендикулярно к прямой А1А2.
Вычислить:
е) синус угла между прямой А1А4 и плоскостью А1А2А3;
ж) косинус угла между координатной плоскостью Oxy и плоскостью А1А2А3;
1.21 A1(1, −2, 7), A2(4, 2, 10), A3(2, 3, 5), A4(5, 3, 7)
2. Решить следующие задачи
2.21 Составить уравнение плоскости, проходящей через точки M(1; 2; 3) и N(−3; 4; −5) параллельно оси Oz
3. Решить следующие задачи
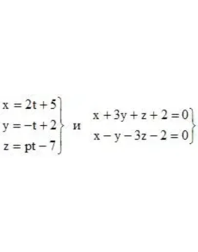
3.21 При каком значении p прямые x=2t+5, y=-t+2, z=pt-7 x+3y+z+2=0 x-y-3z-2=0 параллельны?
Составить уравнения:
а) плоскости А1А2А3; б) прямой А1А2;
в) прямой А4М, перпендикулярной к плоскости А1А2А3;
г) прямой А3N, параллельной прямой А1А2;
д) плоскости, проходящей через точку А4 перпендикулярно к прямой А1А2.
Вычислить:
е) синус угла между прямой А1А4 и плоскостью А1А2А3;
ж) косинус угла между координатной плоскостью Oxy и плоскостью А1А2А3;
1.21 A1(1, −2, 7), A2(4, 2, 10), A3(2, 3, 5), A4(5, 3, 7)
2. Решить следующие задачи
2.21 Составить уравнение плоскости, проходящей через точки M(1; 2; 3) и N(−3; 4; −5) параллельно оси Oz
3. Решить следующие задачи
3.21 При каком значении p прямые x=2t+5, y=-t+2, z=pt-7 x+3y+z+2=0 x-y-3z-2=0 параллельны?




