1. Даны четыре точки A1(x1, y1, z1), A2(x2, y2, z2), A3(x3, y3, z3), A4(x4, y4, z4)
Составить уравнения:
а) плоскости А1А2А3; б) прямой А1А2;
в) прямой А4М, перпендикулярной к плоскости А1А2А3;
г) прямой А3N, параллельной прямой А1А2;
д) плоскости, проходящей через точку А4 перпендикулярно к прямой А1А2.
Вычислить:
е) синус угла между прямой А1А4 и плоскостью А1А2А3;
ж) косинус угла между координатной плоскостью Oxy и плоскостью А1А2А3;
1.29 A1(2, −1, 7), A2(6, 3, 1), A3(3, 2, 8), A4(2, −3, 7)
2. Решить следующие задачи
2.29 Составить уравнение плоскости, проходящей через точки M(2, 3, −5), N(−1, 1, −6) параллельно вектору a=(4, 4, 3)
3. Решить следующие задачи
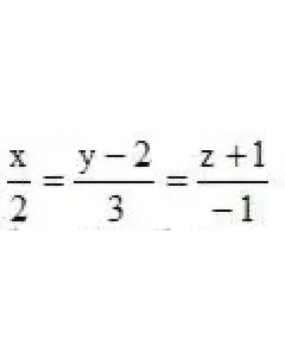
3.29 Составить канонические уравнения прямой, проходящей через точку M(1, −5, 3) перпендикулярно к прямым x/2=(y-2)/3=(z+1)/-1 и x=3t+1, y=−t−5, z=2t+3
Составить уравнения:
а) плоскости А1А2А3; б) прямой А1А2;
в) прямой А4М, перпендикулярной к плоскости А1А2А3;
г) прямой А3N, параллельной прямой А1А2;
д) плоскости, проходящей через точку А4 перпендикулярно к прямой А1А2.
Вычислить:
е) синус угла между прямой А1А4 и плоскостью А1А2А3;
ж) косинус угла между координатной плоскостью Oxy и плоскостью А1А2А3;
1.29 A1(2, −1, 7), A2(6, 3, 1), A3(3, 2, 8), A4(2, −3, 7)
2. Решить следующие задачи
2.29 Составить уравнение плоскости, проходящей через точки M(2, 3, −5), N(−1, 1, −6) параллельно вектору a=(4, 4, 3)
3. Решить следующие задачи
3.29 Составить канонические уравнения прямой, проходящей через точку M(1, −5, 3) перпендикулярно к прямым x/2=(y-2)/3=(z+1)/-1 и x=3t+1, y=−t−5, z=2t+3




