1. Составить канонические уравнения: а) эллипса; б) гиперболы; в) параболы (А,В – точки, лежащие на кривой, F – фокус, а – большая (действительная) полуось, b – малая (мнимая) полуось, ε – эксцентриситет, y=±kx – уравнения асимптот гиперболы, D – директриса кривой, 2c – фокусное расстояние
1.3 a) A(3, 0), B(2, √5/3); б) k = 3/4, ε = 5/4; в) D: y = −2
2. Записать уравнение окружности, проходящей через указанные точки и имеющей центр в точке А.
2.3 Фокусы гиперболы 24y2 – 25x2 = 600, A(0, –8)
3. Составить уравнение линии, каждая точка М которой удовлетворяет заданным условиям.
3.3 Отстоит от прямой y = −2 на расстоянии, в три раза большем, чем от точки A(5, 0)
4. Построить кривую, заданную уравнением в полярной системе координат.
4.3 ρ = 2sin2φ
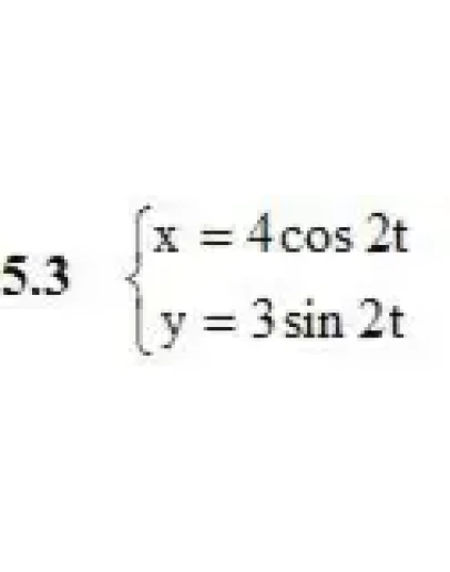
5. Построить кривую, заданную параметрическими уравнениями (0 ≤ t ≤ 2π)
5.3 x=4cos2t y=3sin2t
1.3 a) A(3, 0), B(2, √5/3); б) k = 3/4, ε = 5/4; в) D: y = −2
2. Записать уравнение окружности, проходящей через указанные точки и имеющей центр в точке А.
2.3 Фокусы гиперболы 24y2 – 25x2 = 600, A(0, –8)
3. Составить уравнение линии, каждая точка М которой удовлетворяет заданным условиям.
3.3 Отстоит от прямой y = −2 на расстоянии, в три раза большем, чем от точки A(5, 0)
4. Построить кривую, заданную уравнением в полярной системе координат.
4.3 ρ = 2sin2φ
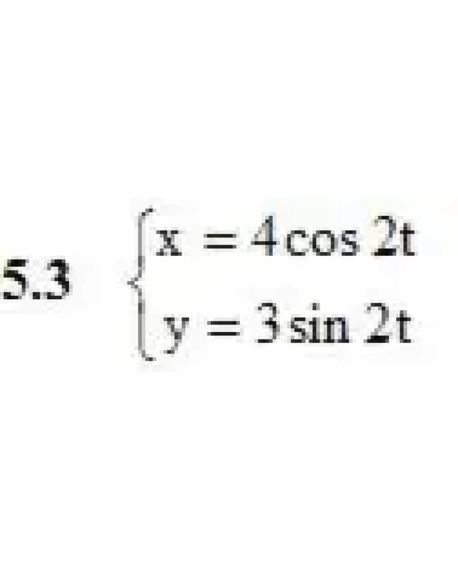
5. Построить кривую, заданную параметрическими уравнениями (0 ≤ t ≤ 2π)
5.3 x=4cos2t y=3sin2t




