• Решебник Рябушко. Решенный ИДЗ 5.2, Вариант 20
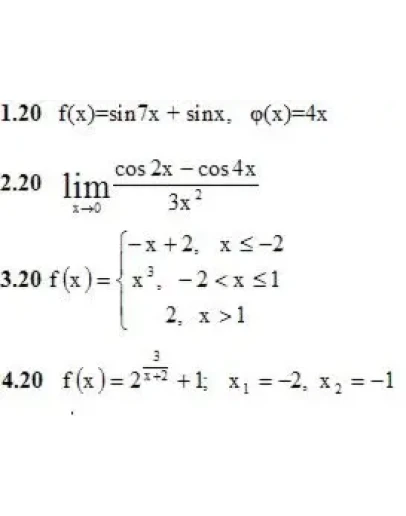
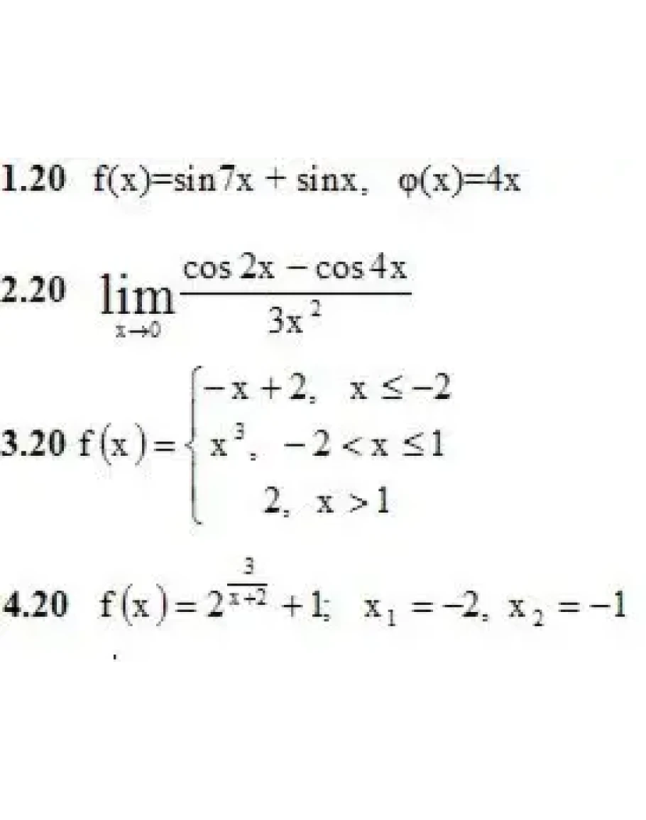
1. Доказать, что функции f(x) и φ(x) при x→0 являются бесконечно малыми одного порядка малости.

2. Найти пределы, используя эквивалентные бесконечно малые функции.

3. Исследовать данные функции на непрерывность и построить их графики.

4. Исследовать данные функции на непрерывность в указанных точках

Написать отзыв

Примечание: HTML разметка не поддерживается! Используйте обычный текст.
   Плохо           Хорошо

Решебник Рябушко. Решенный ИДЗ 5.2, Вариант 20

  • Продавец: Massimo86
  • Модель: 2545240
  • Наличие: Есть в наличии
  • 80р.

Рекомендуемые