1. Найти y’ и y’’
1.9 tgy = 3x + 5y
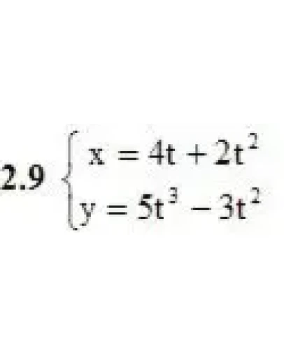
2. Найти y’ и y’’
2.9 x=4t+2t2 y=5t3-3t2
3. Для данной функции y и аргумента x0 вычислить y’’’(x0)
3.9 y = ln(1 + x), x0 = 2
4. Записать формулу для производной n-го порядка указанной функции.
4.9 y=√x
5. Решить следующие задачи.
5.9 Записать уравнение касательной к кривой y = x2 − 6x + 2 в точке с абсциссой x=2
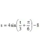
6. Решить следующие задачи.
6.9 Закон движения материальной точки s=4sin(t/3+π/6)-8 . Найти ее скорость в момент времени t = π/2 c.
1.9 tgy = 3x + 5y
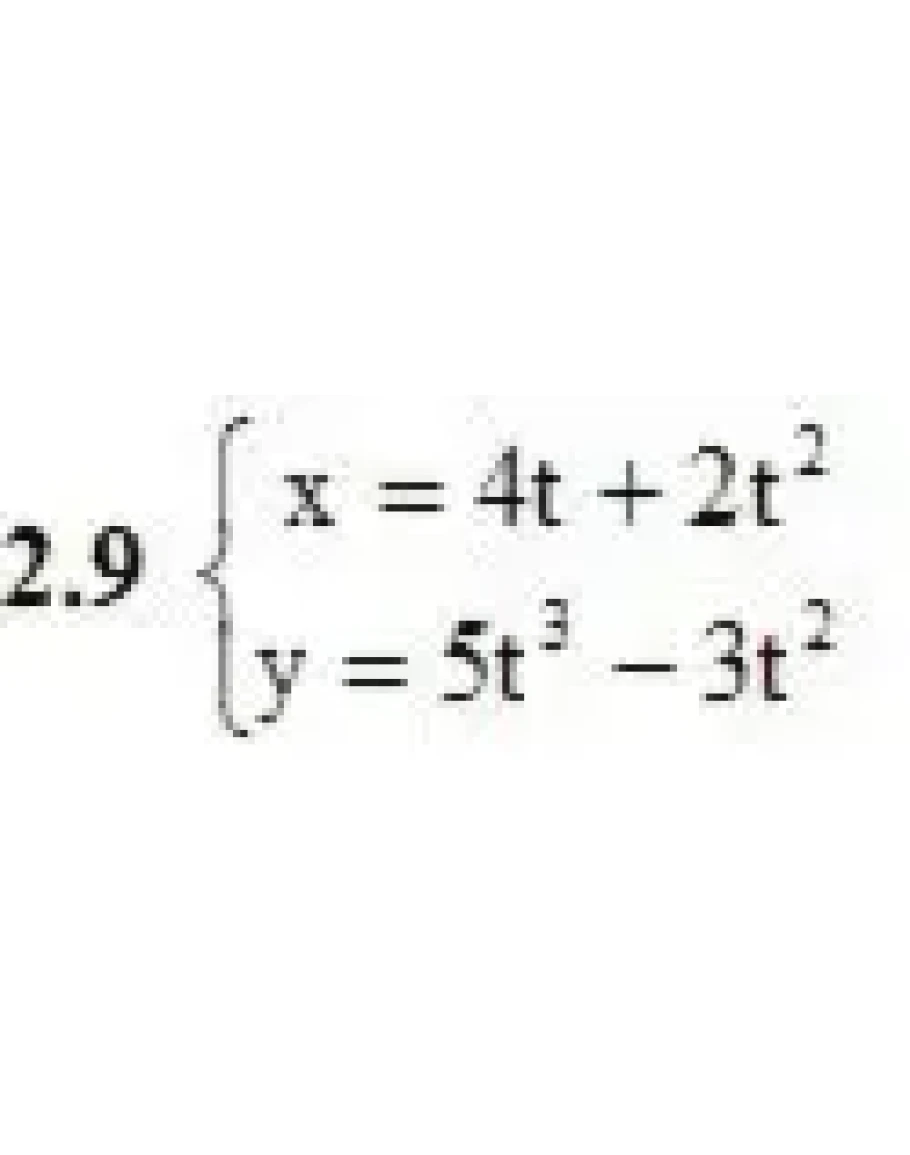
2. Найти y’ и y’’
2.9 x=4t+2t2 y=5t3-3t2
3. Для данной функции y и аргумента x0 вычислить y’’’(x0)
3.9 y = ln(1 + x), x0 = 2
4. Записать формулу для производной n-го порядка указанной функции.
4.9 y=√x
5. Решить следующие задачи.
5.9 Записать уравнение касательной к кривой y = x2 − 6x + 2 в точке с абсциссой x=2
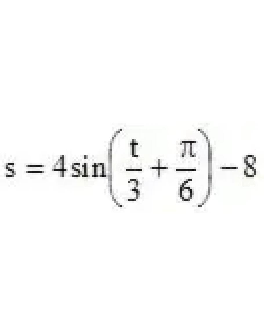
6. Решить следующие задачи.
6.9 Закон движения материальной точки s=4sin(t/3+π/6)-8 . Найти ее скорость в момент времени t = π/2 c.





