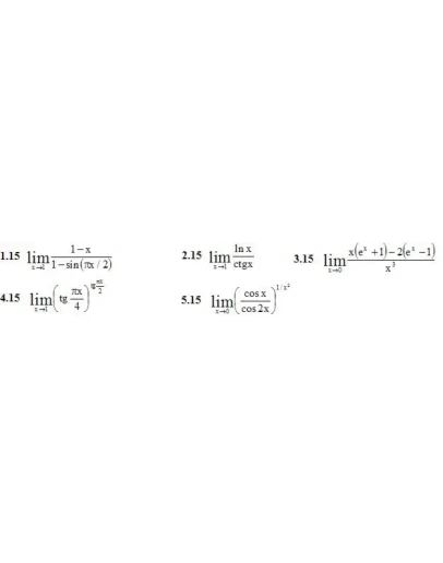
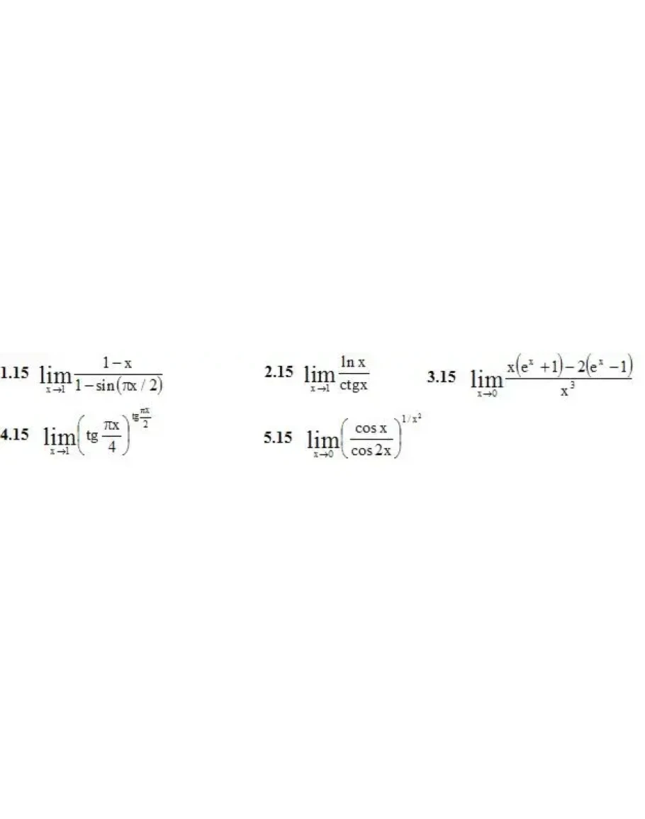
1. Найти указанные пределы, используя правило Лопиталя. (1-5)
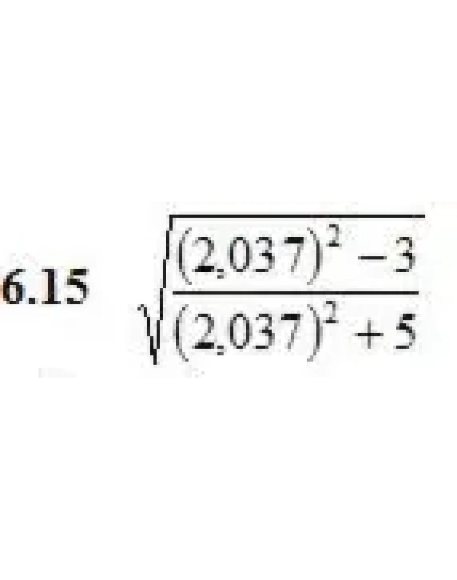
2. С помощью дифференциала приближенно вычислить данные величины и оценить допущенную
относительную погрешность (с точностью до двух знаков после запятой). (1-2)
6.15 √(2,037)2-3/(2,037)2+5
7.15 lg9,5
2. С помощью дифференциала приближенно вычислить данные величины и оценить допущенную
относительную погрешность (с точностью до двух знаков после запятой). (1-2)
6.15 √(2,037)2-3/(2,037)2+5
7.15 lg9,5





