• Решебник Рябушко. Решенный ИДЗ 6.3, Вариант 1
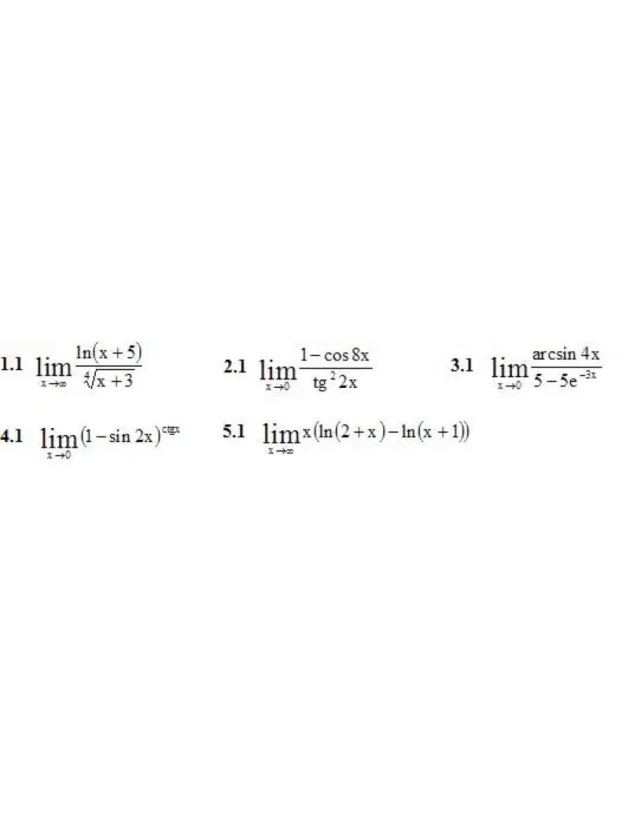
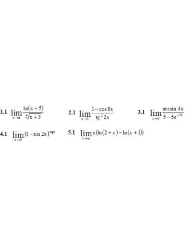
1. Найти указанные пределы, используя правило Лопиталя. (1-5)
2. С помощью дифференциала приближенно вычислить данные величины и оценить допущенную
относительную погрешность (с точностью до двух знаков после запятой). (1-2)
6.1 5√34

7.1 arcsin0,6

Написать отзыв

Примечание: HTML разметка не поддерживается! Используйте обычный текст.
   Плохо           Хорошо

Решебник Рябушко. Решенный ИДЗ 6.3, Вариант 1

  • Продавец: Massimo86
  • Модель: 2545726
  • Наличие: Есть в наличии
  • 130р.

Рекомендуемые