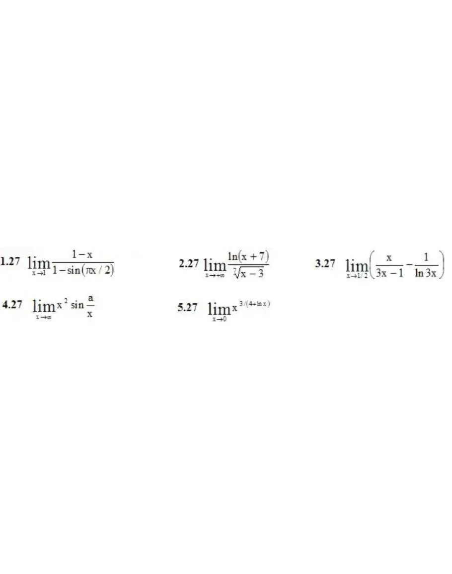
1. Найти указанные пределы, используя правило Лопиталя. (1-5)
2. С помощью дифференциала приближенно вычислить данные величины и оценить допущенную
относительную погрешность (с точностью до двух знаков после запятой). (1-2)
6.27 arctg1,05
7.27 sin31°
2. С помощью дифференциала приближенно вычислить данные величины и оценить допущенную
относительную погрешность (с точностью до двух знаков после запятой). (1-2)
6.27 arctg1,05
7.27 sin31°




