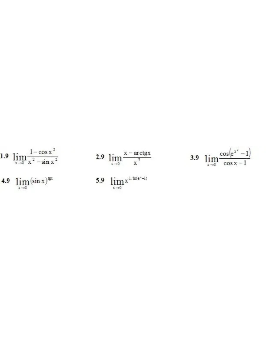
1. Найти указанные пределы, используя правило Лопиталя. (1-5)
2. С помощью дифференциала приближенно вычислить данные величины и оценить допущенную
относительную погрешность (с точностью до двух знаков после запятой). (1-2)
6.9 2,9/√((2,9)2 + 16)
7.9 arctg√1,02
2. С помощью дифференциала приближенно вычислить данные величины и оценить допущенную
относительную погрешность (с точностью до двух знаков после запятой). (1-2)
6.9 2,9/√((2,9)2 + 16)
7.9 arctg√1,02




