Steamurai
Перейти в каталог
Категории
Главная
Товары
Акции
Контакты
О нас
Продавец
Massimo86
Решебник Рябушко. Решенный ИДЗ 8.1, Вариант 27
Описание
Отзывов (0)
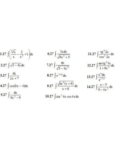
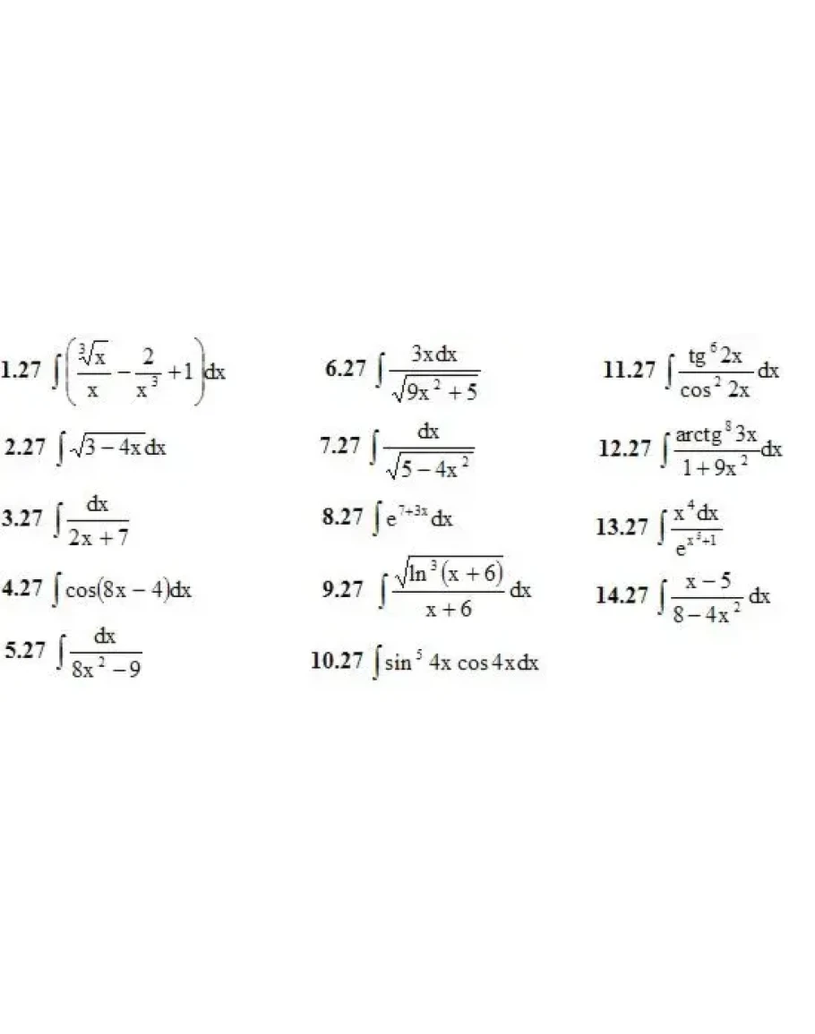
1. Найти неопределенные интегралы (в заданиях 1-5 результаты интегрирования проверить дифференцированием). (1-14)
14 примеров
Написать отзыв
Ваше имя:
Ваш отзыв:
Примечание:
HTML разметка не поддерживается! Используйте обычный текст.
Оценка:
Плохо
Хорошо
Продолжить
Решебник Рябушко. Решенный ИДЗ 8.1, Вариант 27
Продавец:
Massimo86
Модель: 2545908
Наличие: Есть в наличии
90р.
Купить
0 отзывов
/
Написать отзыв
Рекомендуемые
🔵BATTLEFIELD 6 PS5 ВЫБОР РЕГИОНА БЫСТРО!🎁
5599р.
Купить
✅MORTAL KOMBAT 1 KHAOS REIGNS EXPANSION❤️XBOX🔑КЛЮЧ✅
905р.
Купить
✅ Marvel's Spider-Man 2 - STEAM КЛЮЧ 🔑 СНГ (Без РФ)
3086р.
Купить
・Hogwarts Legacy + 450 игр + ПОДАРОК・ПК・НА ВАШ АККАУНТ・
99р.
Купить