Massimo86
ИДЗ 12.2 Вариант 26. Решения Рябушко А.П.
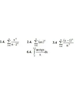
1. Найти область сходимости ряда. (1-3) 4. Разложить функцию f(x) в ряд Тейлора в окрестности указа..
140р.
ИДЗ 12.2 Вариант 27. Решения Рябушко А.П.
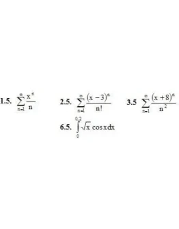
1. Найти область сходимости ряда. (1-3) 4. Разложить функцию f(x) в ряд Тейлора в окрестности указа..
140р.
ИДЗ 12.2 Вариант 28. Решения Рябушко А.П.
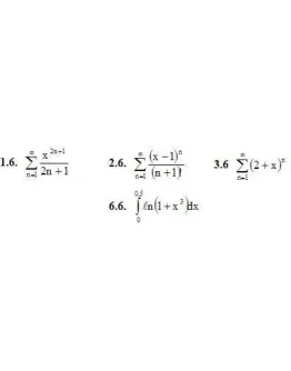
1. Найти область сходимости ряда. (1-3) 4. Разложить функцию f(x) в ряд Тейлора в окрестности указа..
140р.
ИДЗ 12.2 Вариант 29. Решения Рябушко А.П.
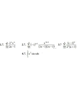
1. Найти область сходимости ряда. (1-3) 4. Разложить функцию f(x) в ряд Тейлора в окрестности указа..
140р.
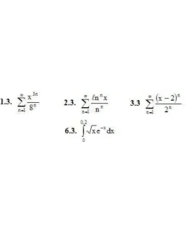
ИДЗ 12.2 Вариант 3. Решения Рябушко А.П.
1. Найти область сходимости ряда. (1-3) 4. Разложить в ряд Маклорена функцию f(x). Указать область ..
140р.
ИДЗ 12.2 Вариант 30. Решения Рябушко А.П.
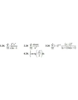
1. Найти область сходимости ряда. (1-3) 4. Разложить функцию f(x) в ряд Тейлора в окрестности указа..
140р.
ИДЗ 12.2 Вариант 4. Решения Рябушко А.П.1
1. Найти область сходимости ряда. (1-3) 4. Разложить в ряд Маклорена функцию f(x). Указать область ..
140р.
ИДЗ 12.2 Вариант 5. Решения Рябушко А.П.
1. Найти область сходимости ряда. (1-3) 4. Разложить в ряд Маклорена функцию f(x). Указать область ..
140р.
ИДЗ 12.2 Вариант 6. Решения Рябушко А.П.
1. Найти область сходимости ряда. (1-3) 4. Разложить в ряд Маклорена функцию f(x). Указать область ..
140р.
ИДЗ 12.2 Вариант 7. Решения Рябушко А.П.
1. Найти область сходимости ряда. (1-3) 4. Разложить в ряд Маклорена функцию f(x). Указать область ..
140р.
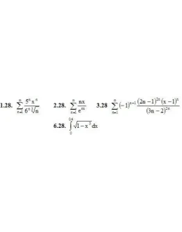
ИДЗ 12.2 Вариант 8. Решения Рябушко А.П.
1. Найти область сходимости ряда. (1-3) 4. Разложить в ряд Маклорена функцию f(x). Указать область ..
140р.
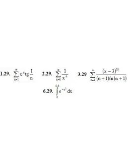
ИДЗ 12.2 Вариант 9. Решения Рябушко А.П.
1. Найти область сходимости ряда. (1-3) 4. Разложить в ряд Маклорена функцию f(x). Указать область ..
140р.
ИДЗ 12.3 Вариант 1. Решения Рябушко А.П.
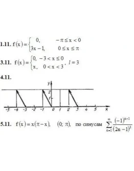
1. Разложить в ряд Фурье периодическую (с периодом ω=2π) функцию f(x) заданную на отрезке [-π; π] 2...
140р.
ИДЗ 12.3 Вариант 10. Решения Рябушко А.П.
1. Разложить в ряд Фурье периодическую (с периодом ω=2π) функцию f(x) заданную на отрезке [-π; π] 2...
140р.
ИДЗ 12.3 Вариант 11. Решения Рябушко А.П.
1. Разложить в ряд Фурье периодическую (с периодом ω=2π) функцию f(x) заданную на отрезке [-π; π] 2..
140р.














