Massimo86
ИДЗ 9.1 Вариант 1. Решения Рябушко А.П.
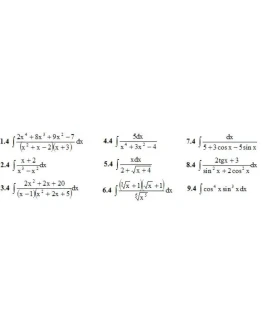
1. Вычислить определенные интегралы с точностью до двух знаков после запятой. (1-7) 2. Вычислить нес..
120р.
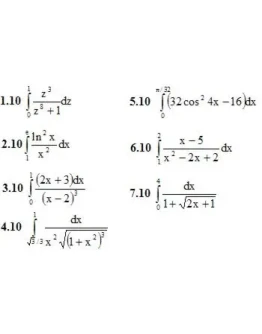
ИДЗ 9.1 Вариант 10. Решения Рябушко А.П.
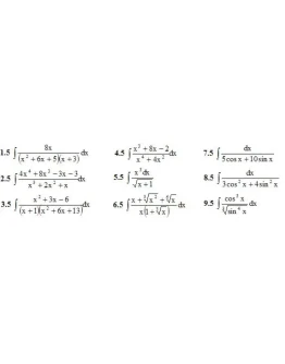
1. Вычислить определенные интегралы с точностью до двух знаков после запятой. (1-7) 2. Вычислить нес..
120р.
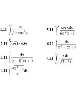
ИДЗ 9.1 Вариант 11. Решения Рябушко А.П.
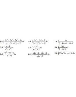
1. Вычислить определенные интегралы с точностью до двух знаков после запятой. (1-7) 2. Вычислить нес..
120р.
ИДЗ 9.1 Вариант 12. Решения Рябушко А.П.
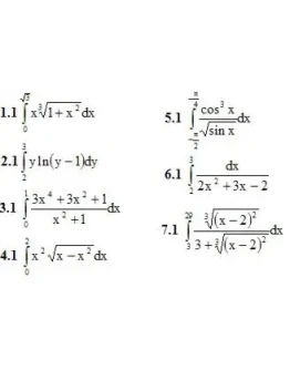
1. Вычислить определенные интегралы с точностью до двух знаков после запятой. (1-7) 2. Вычислить нес..
120р.
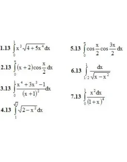
ИДЗ 9.1 Вариант 13. Решения Рябушко А.П.
1. Вычислить определенные интегралы с точностью до двух знаков после запятой. (1-7) 2. Вычислить нес..
120р.














