Massimo86
Решебник Рябушко. Решенный ИДЗ 14.1, Вариант 25
1. Вычислить данные криволинейные интегралы (1-4) , где L – дуга эллипса x = 3cost, y = 2 sint, «про..
100р.
Решебник Рябушко. Решенный ИДЗ 14.1, Вариант 26
1. Вычислить данные криволинейные интегралы (1-4) , где LOA – дуга параболы y = x2/4 от точки O(0, 0..
100р.
Решебник Рябушко. Решенный ИДЗ 14.1, Вариант 27
1. Вычислить данные криволинейные интегралы (1-4) , где LAB – ломаная линия y = |x| от точки А(–1, 1..
100р.
Решебник Рябушко. Решенный ИДЗ 14.1, Вариант 28
1. Вычислить данные криволинейные интегралы (1-4) , где LOA – отрезок прямой, соединяющий точки O(0,..
100р.
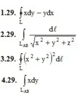
Решебник Рябушко. Решенный ИДЗ 14.1, Вариант 29
1. Вычислить данные криволинейные интегралы (1-4) , где L – контур треугольника с вершинами A(–1, 0)..
100р.
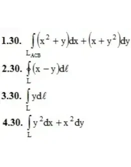
Решебник Рябушко. Решенный ИДЗ 14.1, Вариант 30
1. Вычислить данные криволинейные интегралы (1-4) , где LACB – ломаная ACB; A(2, 0); C(5, 0); B(5, 3..
100р.
Решебник Рябушко. Решенный ИДЗ 14.2, Вариант 1
1. Показать, что данное выражение является полным дифференциалом функции u(x, y). Найти функцию u(x,..
60р.
Решебник Рябушко. Решенный ИДЗ 14.2, Вариант 10
1. Показать, что данное выражение является полным дифференциалом функции u(x, y). Найти функцию u(x,..
60р.
Решебник Рябушко. Решенный ИДЗ 14.2, Вариант 11
1. Показать, что данное выражение является полным дифференциалом функции u(x, y). Найти функцию u(x,..
60р.
Решебник Рябушко. Решенный ИДЗ 14.2, Вариант 12
1. Показать, что данное выражение является полным дифференциалом функции u(x, y). Найти функцию u(x,..
60р.
Решебник Рябушко. Решенный ИДЗ 14.2, Вариант 13
1. Показать, что данное выражение является полным дифференциалом функции u(x, y). Найти функцию u(x,..
60р.
Решебник Рябушко. Решенный ИДЗ 14.2, Вариант 14
1. Показать, что данное выражение является полным дифференциалом функции u(x, y). Найти функцию u(x,..
60р.
Решебник Рябушко. Решенный ИДЗ 14.2, Вариант 15
1. Показать, что данное выражение является полным дифференциалом функции u(x, y). Найти функцию u(x,..
60р.
Решебник Рябушко. Решенный ИДЗ 14.2, Вариант 16
1. Показать, что данное выражение является полным дифференциалом функции u(x, y). Найти функцию u(x,..
60р.
Решебник Рябушко. Решенный ИДЗ 14.2, Вариант 17
1. Показать, что данное выражение является полным дифференциалом функции u(x, y). Найти функцию u(x,..
60р.










