Massimo86
Решебник Рябушко. Решенный ИДЗ 6.2, Вариант 22
1. Найти y’ и y’’ 1.22 xy2 – y3 = 4x – 52. Найти y’ и y’’2.22 x=arccost y=√1-t2 3. Для данной фун..
120р.
Решебник Рябушко. Решенный ИДЗ 6.2, Вариант 23
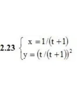
1. Найти y’ и y’’ 1.23 x2y2 + x = 5y2. Найти y’ и y’’ 2.23 x=1/(t+1) y=(t/(t+1))^23. Для данной ф..
120р.
Решебник Рябушко. Решенный ИДЗ 6.2, Вариант 24
1. Найти y’ и y’’ 1.24 x4 + x2y2 + y = 42. Найти y’ и y’’2.24 x=5sin3t y=3cos3t 3. Для данной фу..
120р.
Решебник Рябушко. Решенный ИДЗ 6.2, Вариант 25
1. Найти y’ и y’’ 1.25 siny = xy2 + 52. Найти y’ и y’’ 2.25 x=e-3t y=e8t 3. Для данной функции..
120р.
Решебник Рябушко. Решенный ИДЗ 6.2, Вариант 26
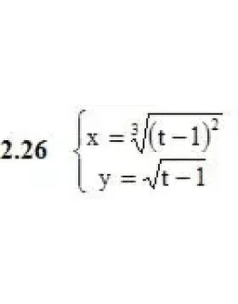
1. Найти y’ и y’’ 1.26 x3 + y3 = 5x2. Найти y’ и y’’ 2.26 x=3√(t-1)2 y=√t-13. Для данной функции..
120р.
Решебник Рябушко. Решенный ИДЗ 6.2, Вариант 27
1. Найти y’ и y’’ 1.27 √x+√y=√72. Найти y’ и y’’ 2.27 x=ln2t yt+lnt3. Для данной функции y и а..
120р.
Решебник Рябушко. Решенный ИДЗ 6.2, Вариант 28
1. Найти y’ и y’’ 1.28 y2 = (x – y)/(x + y)2. Найти y’ и y’’ 2.28 x=tet y=t/et3. Для данной функ..
120р.
Решебник Рябушко. Решенный ИДЗ 6.2, Вариант 29
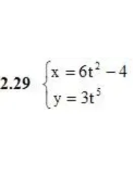
1. Найти y’ и y’’ 1.29 sin2(3x + y2) = 52. Найти y’ и y’’ 2.29 x=6t2-4 y=3t53. Для данной функци..
120р.
Решебник Рябушко. Решенный ИДЗ 6.2, Вариант 3
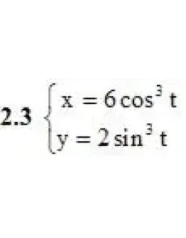
1. Найти y’ и y’’1.3 y = x + arctgy 2. Найти y’ и y’’ 2.3 x=6cos3t y=2sin3t3. Для данной функции ..
120р.
Решебник Рябушко. Решенный ИДЗ 6.2, Вариант 30
1. Найти y’ и y’’ 1.30 ctg2(x + y) = 5x2. Найти y’ и y’’ 2.30 x=arcsint y=lnt3. Для данной функц..
120р.
Решебник Рябушко. Решенный ИДЗ 6.2, Вариант 4
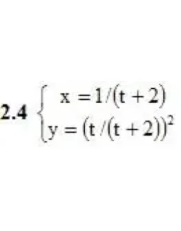
1. Найти y’ и y’’ 1.4 x2/5+ y2/3=12. Найти y’ и y’’ 2.4 x=1/(t+2) y=(t/(t+2))23. Для данной функц..
120р.
Решебник Рябушко. Решенный ИДЗ 6.2, Вариант 5
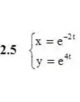
1. Найти y’ и y’’ 1.5 y2 = 25x – 42. Найти y’ и y’’2.5 x=e-2t y=e4t 3. Для данной функции y и ..
120р.
Решебник Рябушко. Решенный ИДЗ 6.2, Вариант 6
1. Найти y’ и y’’ 1.6 arcctgy = 4x + 5y2. Найти y’ и y’’ 2.6 x=√t y=5√t3. Для данной функции y и ..
120р.
Решебник Рябушко. Решенный ИДЗ 6.2, Вариант 7
1. Найти y’ и y’’ 1.7 y2 – x = cosy2. Найти y’ и y’’2.7 x=2t/(1+t3) y=t2/(1+t2)3. Для данной функц..
120р.
Решебник Рябушко. Решенный ИДЗ 6.2, Вариант 8
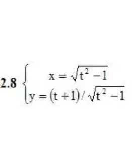
1. Найти y’ и y’’1.8 3x + siny = 5y 2. Найти y’ и y’’ 2.8 x=√t2-1, y=(t+1)/√t2-1 3. Для данной фун..
120р.














