Pingvin78
Задача по аналитической химии 60
Рассчитайте, сколько процентов NH4(+) не прореагирует по достижении точки эквивалентности при титров..
50р.
Задача по аналитической химии 61
Рассчитайте pZn в растворах, полученных при смешивании 40,0; 50,0 и 60,0 мл 0,00100 М раствора ЭДТА ..
50р.
Задача по аналитической химии 7
Сколько граммов Ag2CO3 получилось при сливании 25,0 мл 0,200 М AgNO3 н 50 мл 0,300 М Na2CO3?..
30р.
Задача по аналитической химии 8
Рассчитайте концентрацию ионов водорода и гидроксила в 0,200 М водном растворе NaOH...
30р.
Задача по аналитической химии 9
Сколько граммов йодата бария может раствориться в 500 мл воды при 25 °С?..
30р.
Задача по физической химии 1
Пузырек газа с диаметром 1 см, находящийся у дна озера при температуре 5° С и давлении 3 атм, подним..
30р.
Задача по физической химии 10
Определение атомного веса хлора проводили методом измерения предельной плотности газообразного хлори..
30р.
Задача по физической химии 11
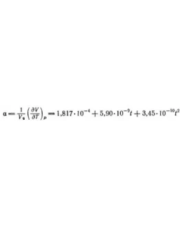
Термический коэффициент объемного расширения ртути дается выражением:где 1/V0 - температура (°С) и V..
30р.
Задача по физической химии 12
Каждое из нижеследующих определений (а и б) абсолютной температуры (Т) возможно и реально. Опишите к..
30р.
Задача по физической химии 13
Выведите барометрическую формулу Р = Р0*е^-Мgz/RT, решив дифференциальное уравнение. Для составления..
30р.
Задача по физической химии 15
При заливке трубки барометра ртутью некоторое количество воздуха осталось в верхней части трубки. О..
30р.
Задача по физической химии 16
Стеклянный цилиндр длиной 100 см, запаянный с одного конца и наполненный сухим воздухом при давлении..
30р.
Задача по физической химии 17
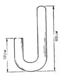
J-образная трубка, показанная на рисунке, заполнена сначала воздухом при 1 атм и 25° С, затем в откр..
30р.
Задача по физической химии 18
Каждый из двух пустых сферических сосудов (емкость сосуда 22,4 л) заполнили 1 молем азота при темпер..
30р.
Задача по физической химии 19
Клапан цилиндра, содержавшего 10 л газа при давлении 25 атм и температуре 25° С, открыт в атмосферу,..
30р.






