Решение неопределенного интеграла вида ∫arcctg(x/α)dx методом интегрирования по частям, где α принимает значения 2,3,4,5...n
Рассмотрен пример решения интегралов при α=2,7
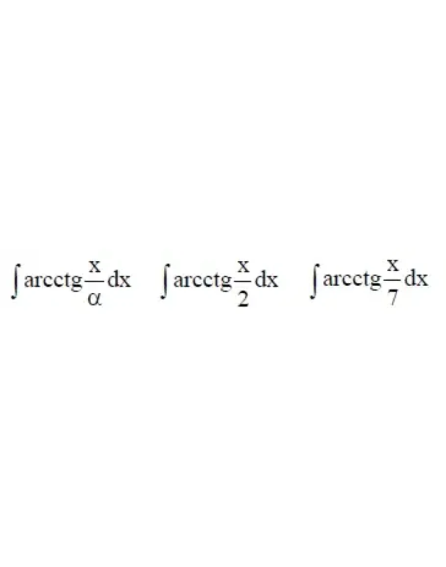
∫arcctg(x/α)dx, ∫arcctg(x/2)dx, ∫arcctg(x/7)dx
Решение оформлено в PDF-формате
Рассмотрен пример решения интегралов при α=2,7
∫arcctg(x/α)dx, ∫arcctg(x/2)dx, ∫arcctg(x/7)dx
Решение оформлено в PDF-формате
Решенный интеграл вида arcctg(x/)dx
- Продавец: plati-goods
- Модель: 3579375
- Наличие: Есть в наличии
-
10р.




