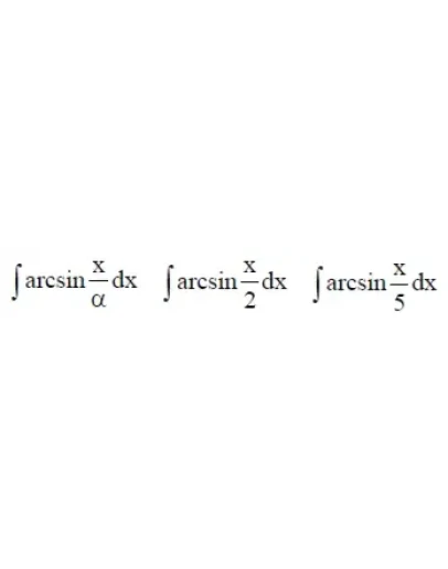
Решение неопределенного интеграла вида ∫arcsin(x/α)dx методом интегрирования по частям, где α принимает значения 2,3,4,5...n
Рассмотрен пример решения интегралов при α=2,5
∫arcsin(x/α)dx, ∫arcsin(x/2)dx, ∫arcsin(x/5)dx
Решение оформлено в PDF-формате
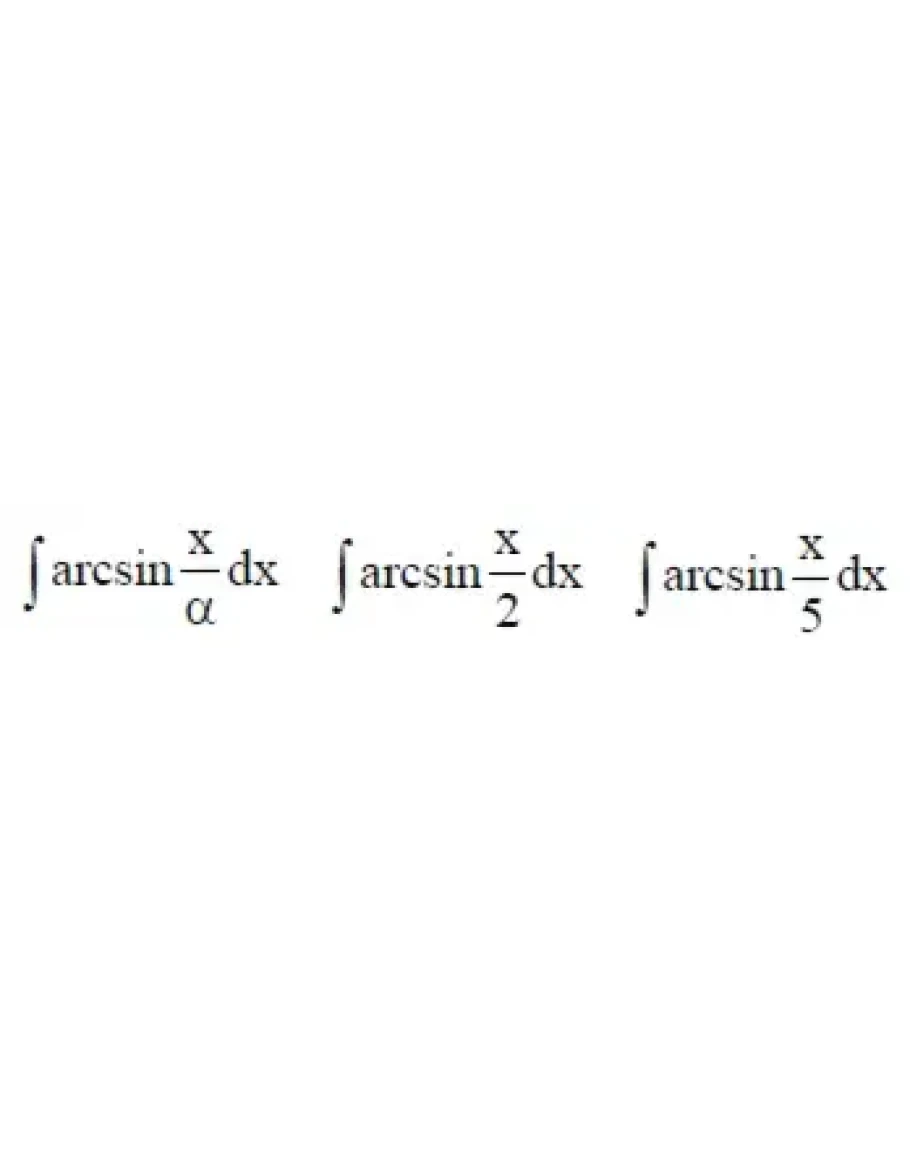
Рассмотрен пример решения интегралов при α=2,5
∫arcsin(x/α)dx, ∫arcsin(x/2)dx, ∫arcsin(x/5)dx
Решение оформлено в PDF-формате
Решенный интеграл вида arcsin(x/)dx
- Продавец: plati-goods
- Модель: 3579343
- Наличие: Есть в наличии
-
10р.




