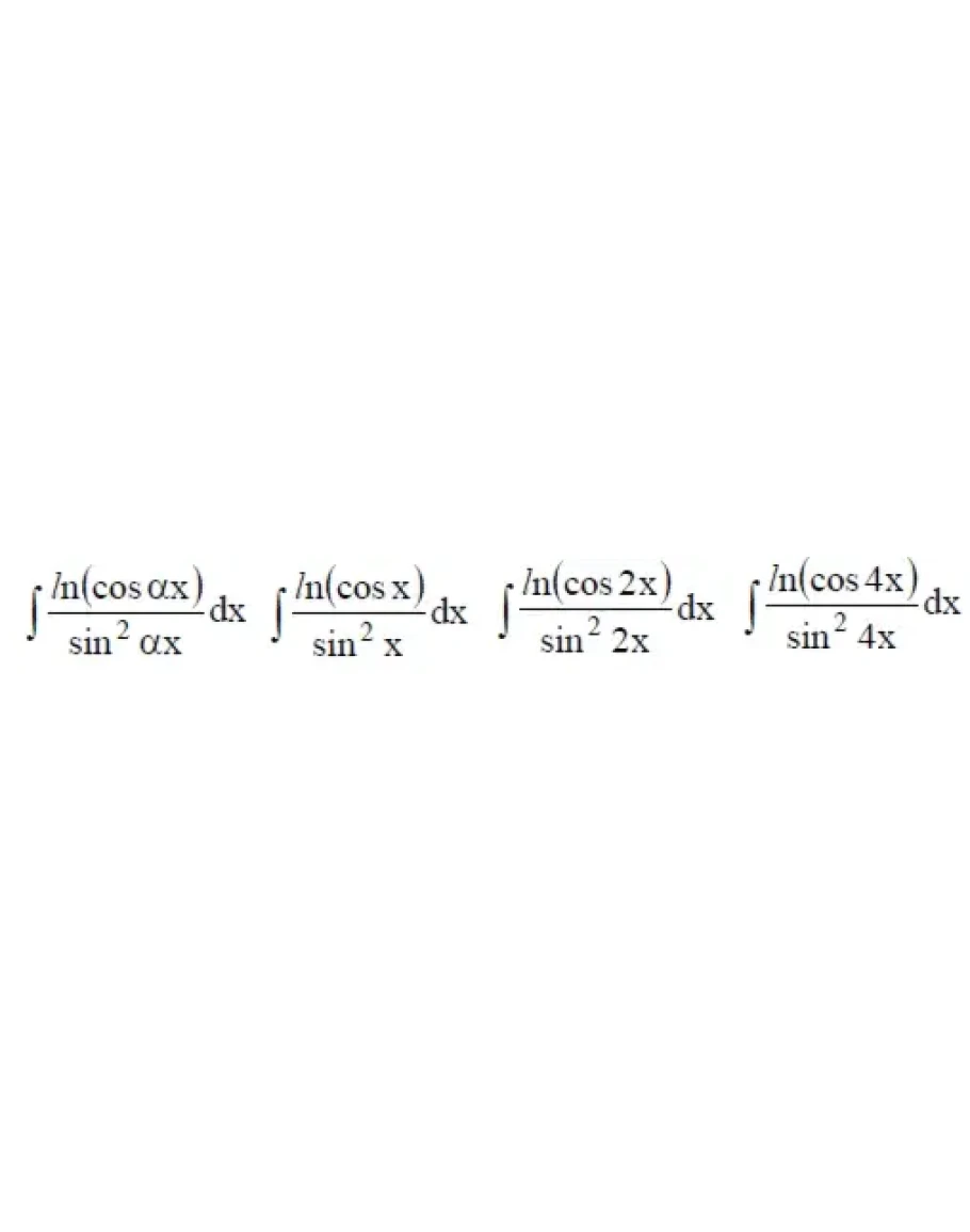
Решение неопределенного интеграла вида ∫ln(cosαx)/sin^2(αx)dx методом интегрирования по частям, где α принимает значения 1,2,3,4,5,…n.
Рассмотрен пример решения интегралов при α=1, α=2, α=4.
∫ln(cosαx)/sin^2(αx)dx, ∫ln(cosx)/sin^2(x)dx, ∫ln(cos2x)/sin^2(2x)dx, ∫ln(cos4x)/sin^2(4x)dx
Решение оформлено в PDF-формате
Рассмотрен пример решения интегралов при α=1, α=2, α=4.
∫ln(cosαx)/sin^2(αx)dx, ∫ln(cosx)/sin^2(x)dx, ∫ln(cos2x)/sin^2(2x)dx, ∫ln(cos4x)/sin^2(4x)dx
Решение оформлено в PDF-формате
Решенный интеграл вида ln(cosx)/sin2(x)dx
- Продавец: plati-goods
- Модель: 3593625
- Наличие: Есть в наличии
-
10р.




