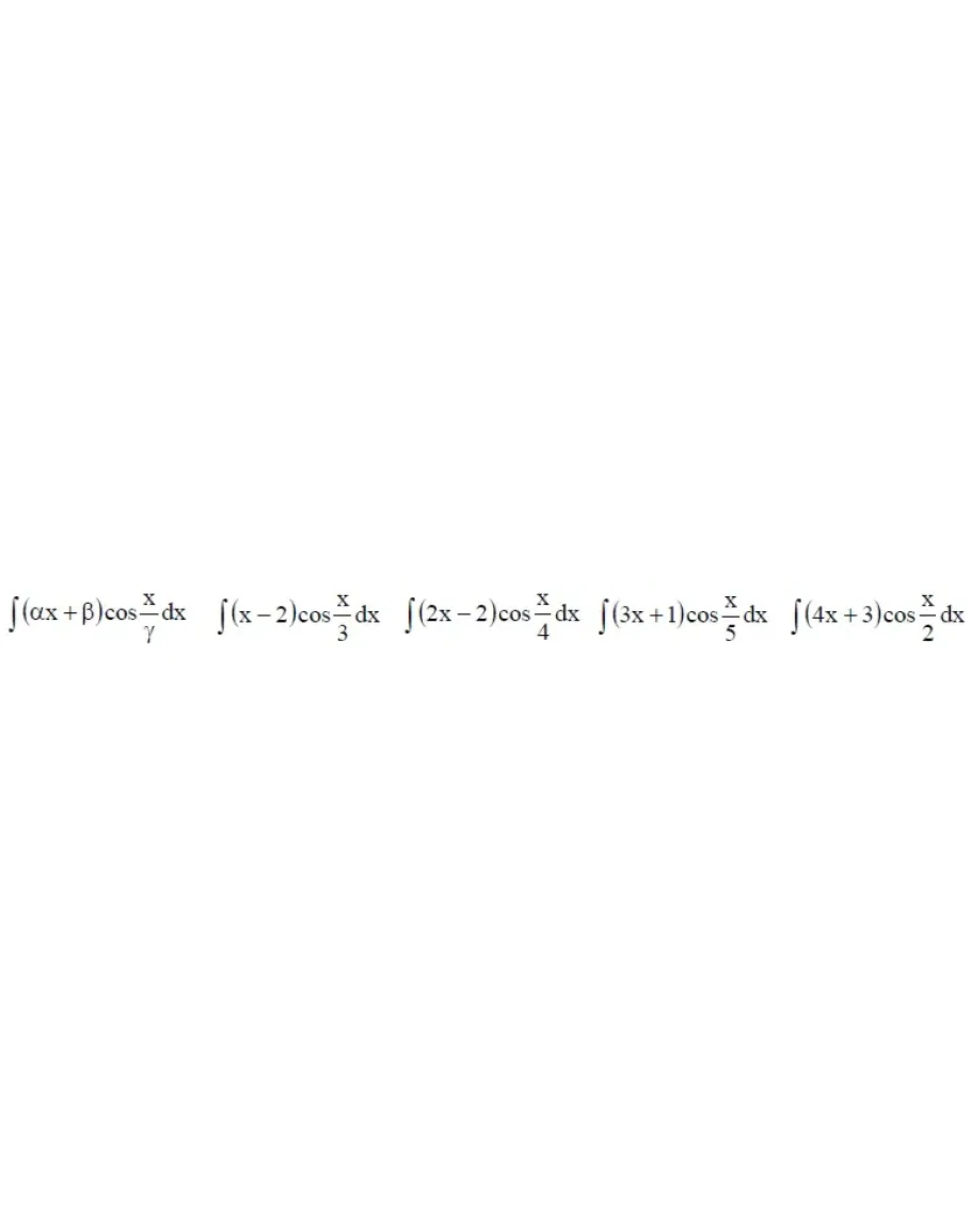
Решение неопределенного интеграла вида ∫(αx+β)cos(x/γ)dx методом интегрирования по частям, где α принимает значения ±1,±2,±3,±4,±5,…m; β принимает значения ±1,±2,±3,±4,±5,…n; γ принимает значения 2,3,4,5,…p.
Рассмотрен пример решения интегралов при α=1, β=−2, γ=3; α=2, β=−2, γ=4; α=3, β=1, γ=5; α=4, β=3, γ=2;
∫(αx+β)cos(x/γ)dx, ∫(x−2)cos(x/3)dx, ∫(2x−2)cos(x/4)dx, ∫(3x+1)cos(x/5)dx, ∫(4x+3)cos(x/2)dx
Решение оформлено в PDF-формате
Рассмотрен пример решения интегралов при α=1, β=−2, γ=3; α=2, β=−2, γ=4; α=3, β=1, γ=5; α=4, β=3, γ=2;
∫(αx+β)cos(x/γ)dx, ∫(x−2)cos(x/3)dx, ∫(2x−2)cos(x/4)dx, ∫(3x+1)cos(x/5)dx, ∫(4x+3)cos(x/2)dx
Решение оформлено в PDF-формате
Решенный интеграл вида (x+)cos(x/)dx
- Продавец: plati-goods
- Модель: 3584828
- Наличие: Есть в наличии
-
10р.




