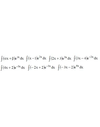
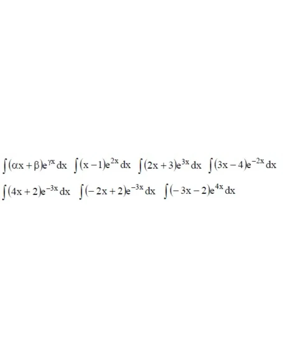
Решение неопределенного интеграла вида ∫(αx+β)e^(γx)dx методом интегрирования по частям, где α принимает значения ±1,±2,±3,±4,±5,…m; β принимает значения ±1,±2,±3,±4,±5,…n; γ принимает значения ±1,±2,±3,±4,±5,…p.
Рассмотрен пример решения интегралов при α=1, β=−1, γ=2; α=2, β=3, γ=3; α=3, β=−4, γ=−2; α=4, β=2, γ=−3; α=−2, β=2, γ=−3; α=−3, β=−2, γ=4;
∫(αx+β)e^(γx)dx, ∫(x−1)e^(2x)dx, ∫(2x+3)e^(3x)dx, ∫(3x−4)e^(−2x)dx, ∫(4x+2)e^(−3x)dx, ∫(−2x+2)e^(−3x)dx, ∫(−3x−2)e^(4x)dx
Решение оформлено в PDF-формате
Рассмотрен пример решения интегралов при α=1, β=−1, γ=2; α=2, β=3, γ=3; α=3, β=−4, γ=−2; α=4, β=2, γ=−3; α=−2, β=2, γ=−3; α=−3, β=−2, γ=4;
∫(αx+β)e^(γx)dx, ∫(x−1)e^(2x)dx, ∫(2x+3)e^(3x)dx, ∫(3x−4)e^(−2x)dx, ∫(4x+2)e^(−3x)dx, ∫(−2x+2)e^(−3x)dx, ∫(−3x−2)e^(4x)dx
Решение оформлено в PDF-формате
Решенный интеграл вида (x+)e(x)dx
- Продавец: plati-goods
- Модель: 3593587
- Наличие: Есть в наличии
-
10р.




