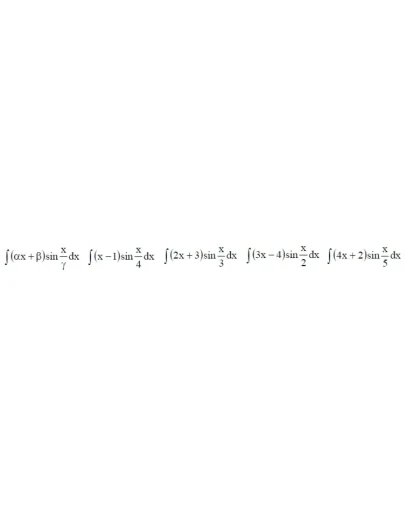
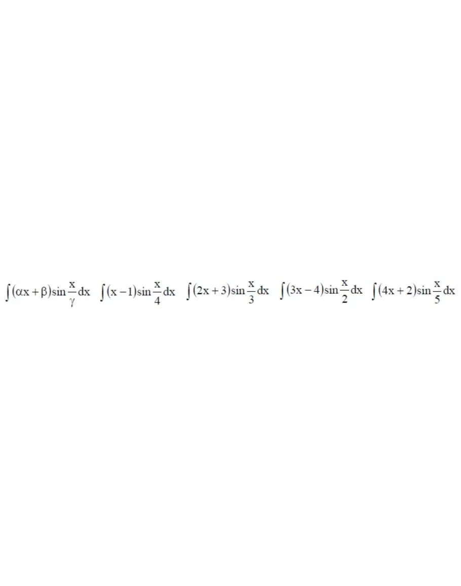
Решение неопределенного интеграла вида ∫(αx+β)sin(x/γ)dx методом интегрирования по частям, где α принимает значения ±1,±2,±3,±4,±5,…m; β принимает значения ±1,±2,±3,±4,±5,…n; γ принимает значения 2,3,4,5,…p.
Рассмотрен пример решения интегралов при α=1, β=−1, γ=4; α=2, β=3, γ=3; α=3, β=−4, γ=2; α=4, β=2, γ=5;
∫(αx+β)sin(x/γ)dx, ∫(x−1)sin(x/4)dx, ∫(2x+3)sin(x/3)dx, ∫(3x−4)sin(x/2)dx, ∫(4x+2)sin(x/5)dx
Решение оформлено в PDF-формате
Рассмотрен пример решения интегралов при α=1, β=−1, γ=4; α=2, β=3, γ=3; α=3, β=−4, γ=2; α=4, β=2, γ=5;
∫(αx+β)sin(x/γ)dx, ∫(x−1)sin(x/4)dx, ∫(2x+3)sin(x/3)dx, ∫(3x−4)sin(x/2)dx, ∫(4x+2)sin(x/5)dx
Решение оформлено в PDF-формате
Решенный интеграл вида (x+)sin(x/)dx
- Продавец: plati-goods
- Модель: 3584856
- Наличие: Есть в наличии
-
10р.




