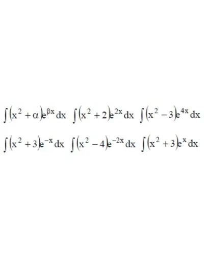
Решение неопределенного интеграла вида ∫(x^2+α)e^(βx)dx методом интегрирования по частям, где α принимает значения ±1,±2,±3,±4,±5,…±n; β принимает значения ±1,±2,±3,±4,±5,…m.
Рассмотрен пример решения интегралов при α=2, β=2, α=−3, β=4; α=3, β=−1; α=−4, β=−2; α=3, β=1;
∫(x^2+α)e^(βx)dx, ∫(x^2+2)e^(2x)dx, ∫(x^2−3)e^(4x)dx, ∫(x^2+3)e^(−x)dx, ∫(x^2−4)e^(−2x)dx, ∫(x^2+3)e^(x)dx
Решение оформлено в PDF-формате
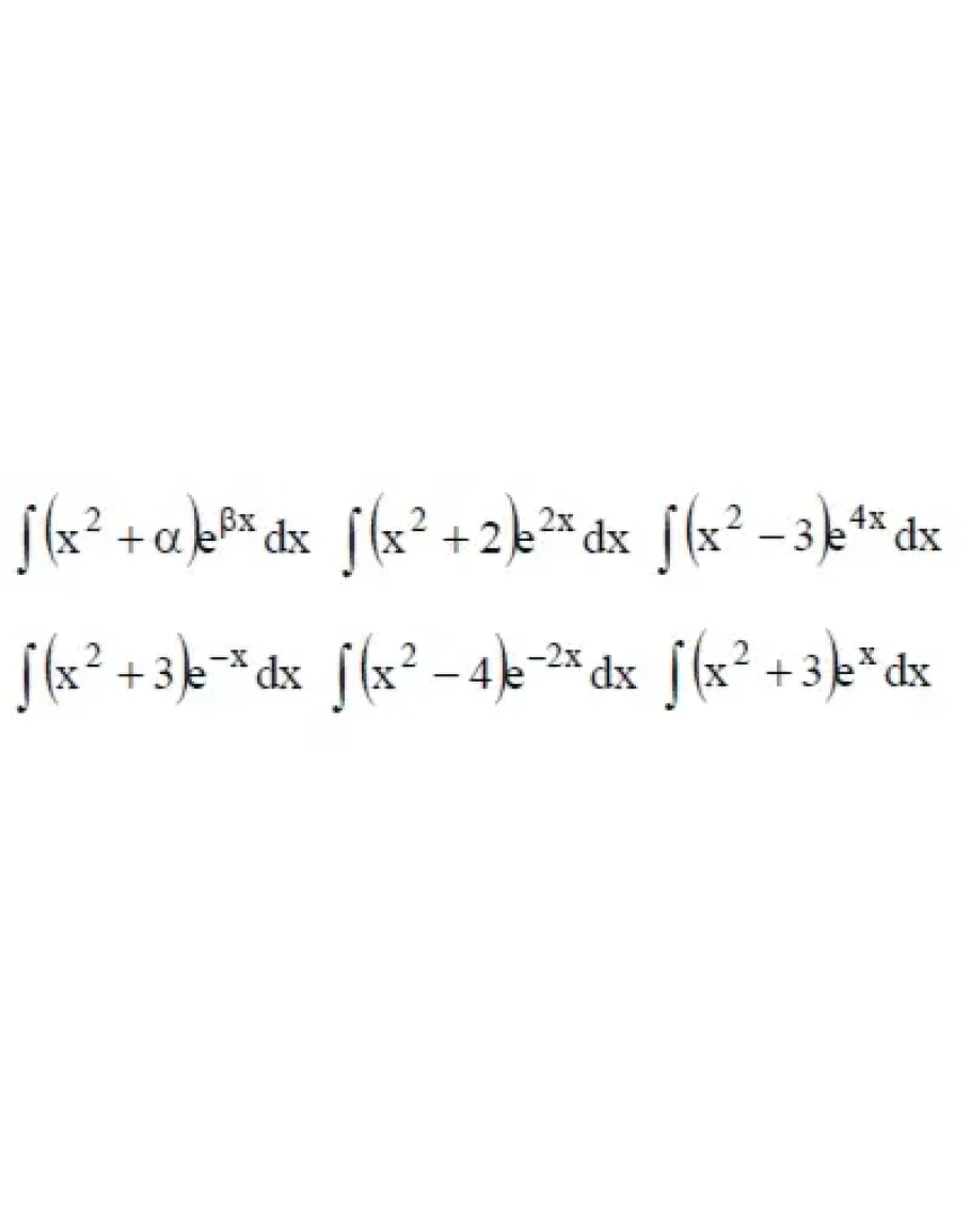
Рассмотрен пример решения интегралов при α=2, β=2, α=−3, β=4; α=3, β=−1; α=−4, β=−2; α=3, β=1;
∫(x^2+α)e^(βx)dx, ∫(x^2+2)e^(2x)dx, ∫(x^2−3)e^(4x)dx, ∫(x^2+3)e^(−x)dx, ∫(x^2−4)e^(−2x)dx, ∫(x^2+3)e^(x)dx
Решение оформлено в PDF-формате
Решенный интеграл вида (x2+)e(x)dx
- Продавец: plati-goods
- Модель: 3593594
- Наличие: Есть в наличии
-
12р.




