• Решенный интеграл вида (x2+)sinxdx
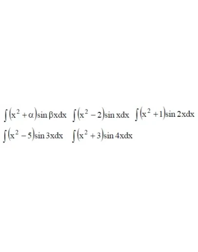
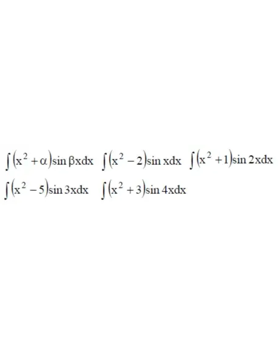
Решение неопределенного интеграла вида ∫(x^2+α)sinβxdx методом интегрирования по частям, где α принимает значения ±1,±2,±3,±4,±5,…±n; β принимает значения 1,2,3,4,5,…m.
Рассмотрен пример решения интегралов при α=−2, β=1, α=1, β=2; α=−5, β=3; α=3, β=4

∫(x^2+α)sinβxdx, ∫(x^2−2)sinxdx, ∫(x^2+1)sin2xdx, ∫(x^2−5)sin3xdx, ∫(x^2+3)sin4xdx

Решение оформлено в PDF-формате

Написать отзыв

Примечание: HTML разметка не поддерживается! Используйте обычный текст.
   Плохо           Хорошо

Решенный интеграл вида (x2+)sinxdx

  • Продавец: plati-goods
  • Модель: 3593601
  • Наличие: Есть в наличии
  • 12р.

Рекомендуемые