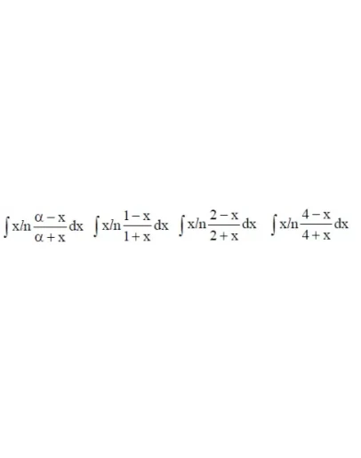
Решение неопределенного интеграла вида ∫xln(α−x)/(α+x)dx методом интегрирования по частям, где α принимает значения 1,2,3,4,5,…n.
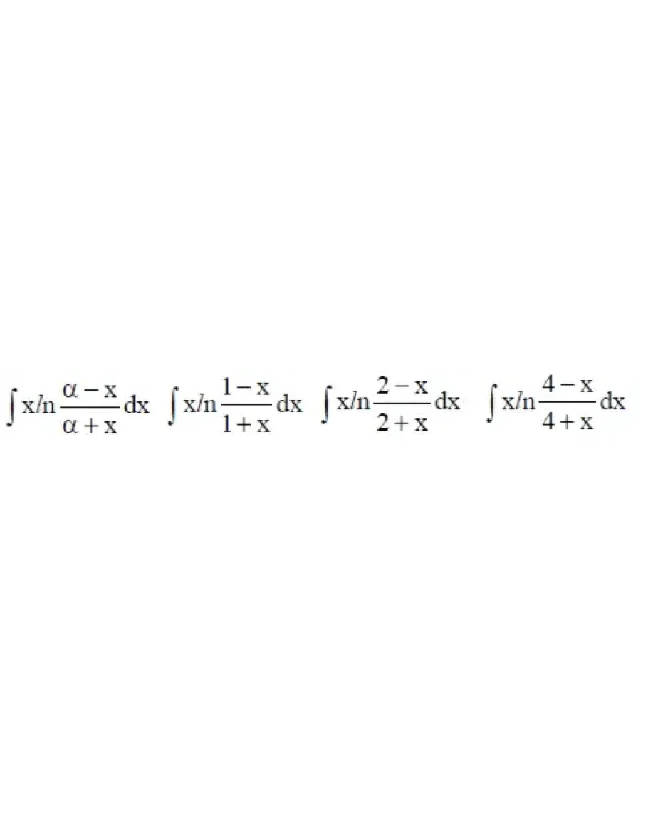
Рассмотрен пример решения интегралов при α=1, α=2, α=4.
∫xln(α−x)/(α+x)dx, ∫xln(1−x)/(1+x)dx, ∫xln(2−x)/(2+x)dx, ∫xln(4−x)/(4+x)dx
Решение оформлено в PDF-формате
Рассмотрен пример решения интегралов при α=1, α=2, α=4.
∫xln(α−x)/(α+x)dx, ∫xln(1−x)/(1+x)dx, ∫xln(2−x)/(2+x)dx, ∫xln(4−x)/(4+x)dx
Решение оформлено в PDF-формате
Решенный интеграл вида xln(x)/(+x)dx
- Продавец: plati-goods
- Модель: 3593644
- Наличие: Есть в наличии
-
12р.




