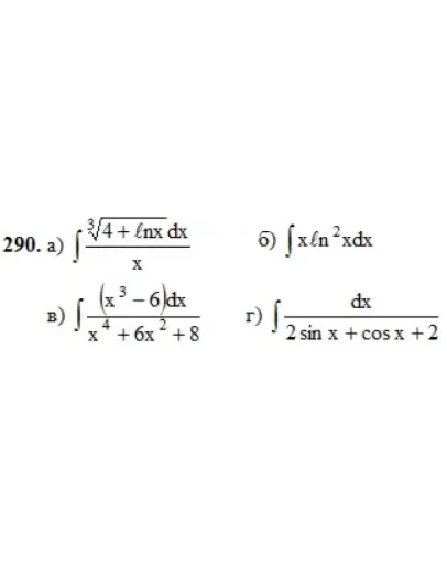
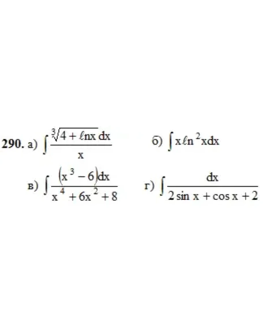
Готовое решение задачи. Решебник Арутюнова. Задание №290.
281 – 290. Найти неопределенные интегралы. В двух первых примерах [п. а) и б)] проверить результаты дифференцированием.
281 – 290. Найти неопределенные интегралы. В двух первых примерах [п. а) и б)] проверить результаты дифференцированием.




