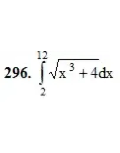
Готовое решение задачи. Решебник Арутюнова. Задание №296.
291 – 300. Вычислить приближенное значение определенного интеграла с помощью формулы Симпсона, разбив отрезок интегрирования на 10 частей. Все вычисления производить с округлением до третьего десятичного знака.
291 – 300. Вычислить приближенное значение определенного интеграла с помощью формулы Симпсона, разбив отрезок интегрирования на 10 частей. Все вычисления производить с округлением до третьего десятичного знака.




