Готовое решение задачи. Решебник Арутюнова. Задание №391.
391 – 400. Вычислить данные криволинейные интегралы.
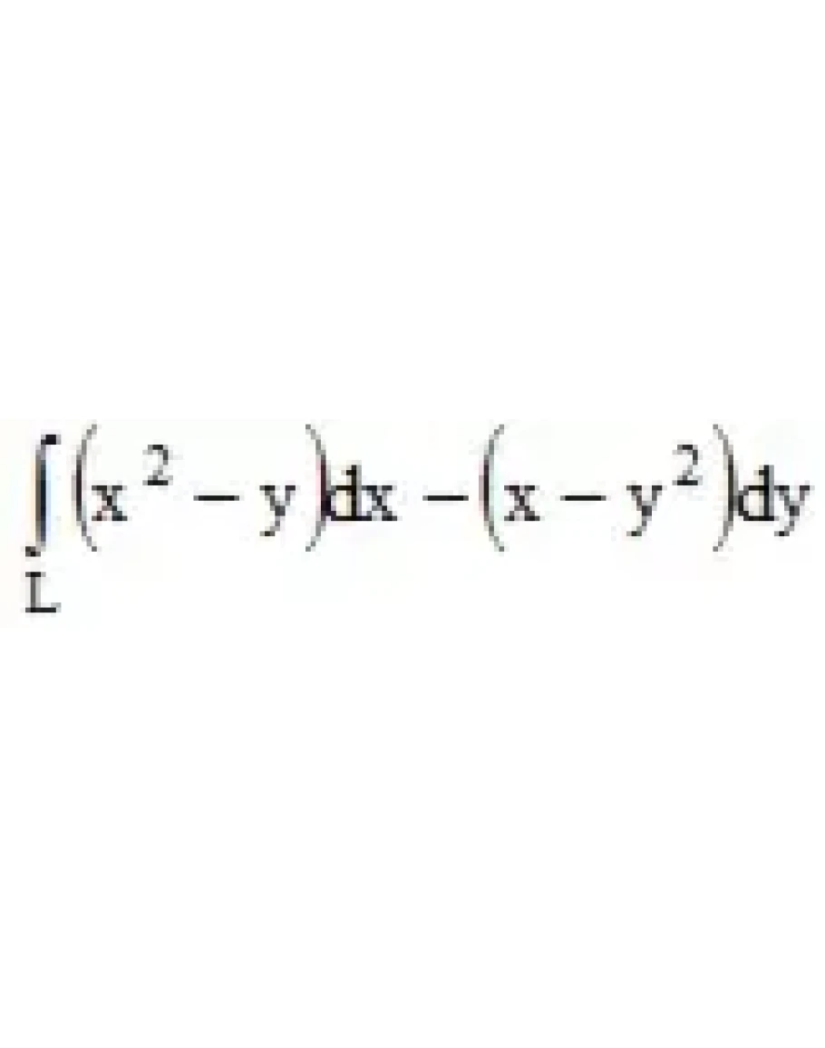
391. Вычислить криволинейный интеграл
вдоль дуги L окружности x = 5cost, y = 5sint, обходя ее против хода часовой стрелки от точки A(5; 0) до точки B(0; 5). Сделать чертеж.
391 – 400. Вычислить данные криволинейные интегралы.
391. Вычислить криволинейный интеграл
вдоль дуги L окружности x = 5cost, y = 5sint, обходя ее против хода часовой стрелки от точки A(5; 0) до точки B(0; 5). Сделать чертеж.




