Готовое решение задачи. Решебник Арутюнова. Задание №392.
391 – 400. Вычислить данные криволинейные интегралы.
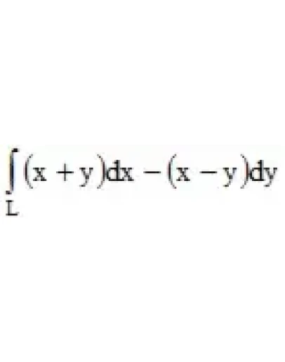
392. Вычислить криволинейный интеграл
вдоль ломаной L = OAB, где O(0; 0), A(2; 0), B(4; 5). Сделать чертеж.
391 – 400. Вычислить данные криволинейные интегралы.
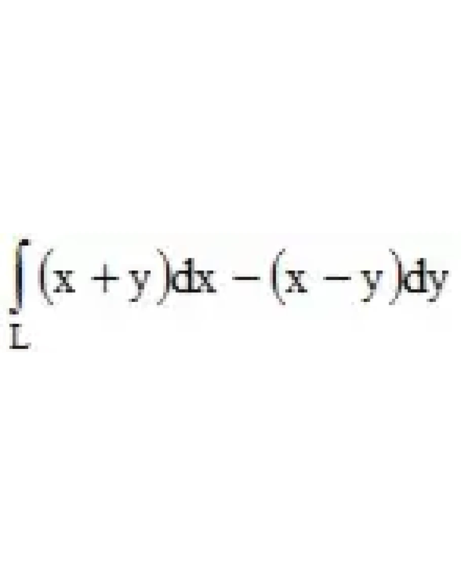
392. Вычислить криволинейный интеграл
вдоль ломаной L = OAB, где O(0; 0), A(2; 0), B(4; 5). Сделать чертеж.




