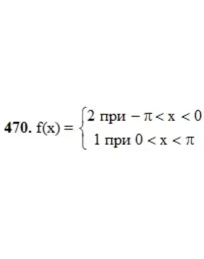
Готовое решение задачи. Решебник Арутюнова. Задание №470.
461 – 470. Разложить данную функцию f(x) в ряд Фурье в интервале (a, b).
в интервале (−π, π)
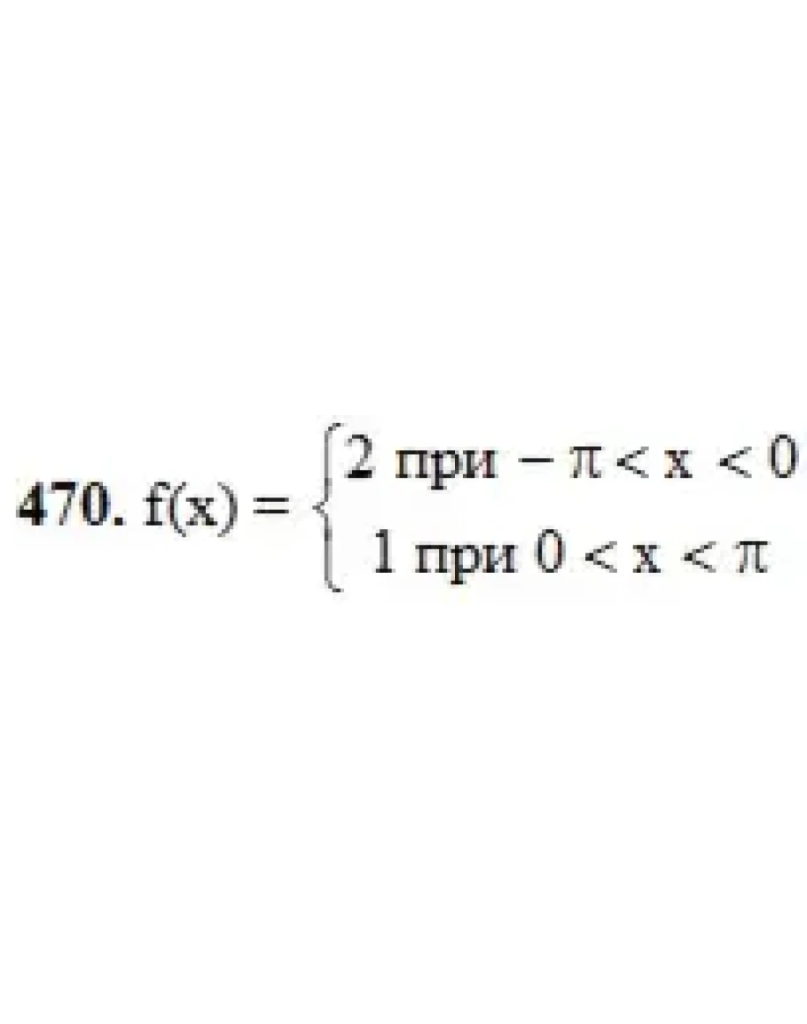
461 – 470. Разложить данную функцию f(x) в ряд Фурье в интервале (a, b).
в интервале (−π, π)




