Steamurai
Перейти в каталог
Категории
Главная
Товары
Акции
Контакты
О нас
Розрахункова з: Диференцальн рвн.(15 завд) НУЛП В-16
Описание
Отзывов (0)
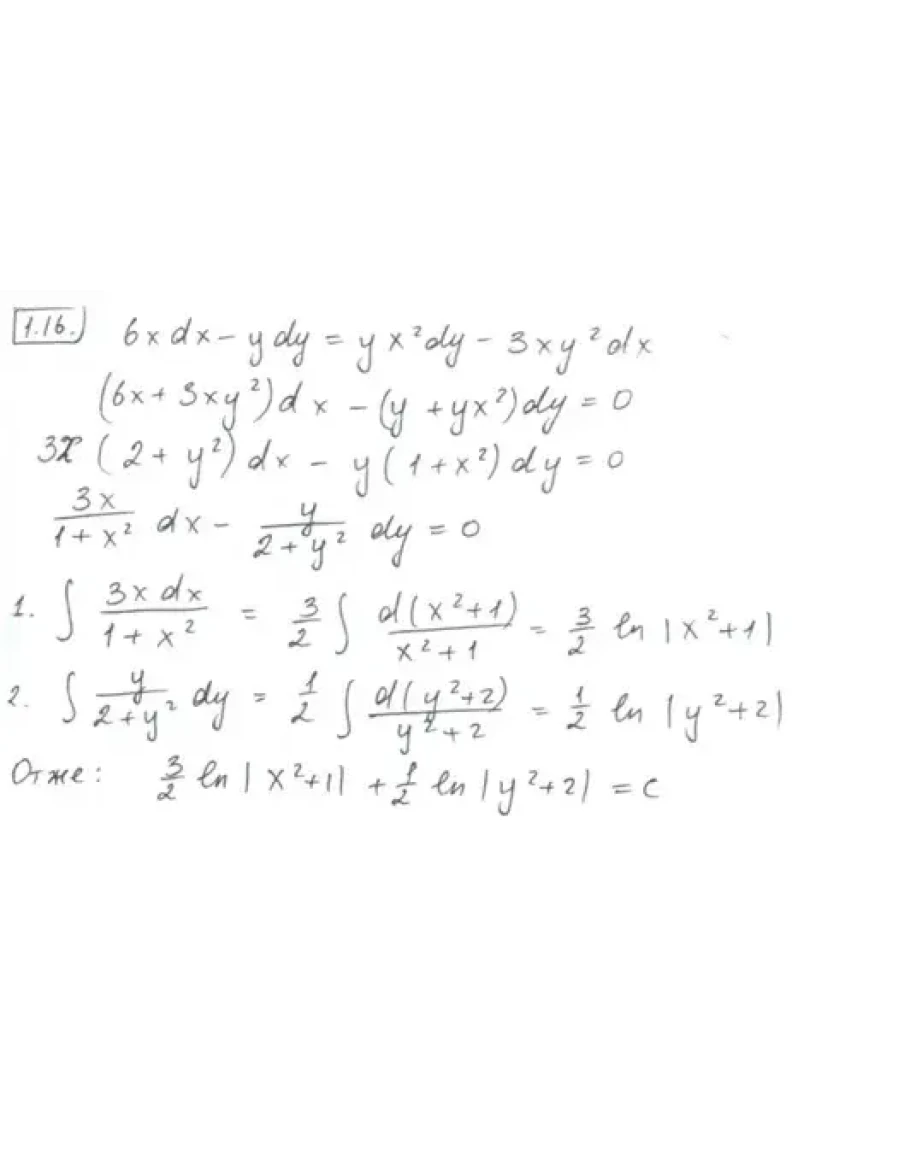
Розв'язана розрахункова робота з диференціальних рівнянь. НУЛП. В першому завданні потрібно знайти загальний інтеграл рівняння, в 15 - розв'язати задачу Коші. Варіант 16.
Написать отзыв
Ваше имя:
Ваш отзыв:
Примечание:
HTML разметка не поддерживается! Используйте обычный текст.
Оценка:
Плохо
Хорошо
Продолжить
Розрахункова з: Диференцальн рвн.(15 завд) НУЛП В-16
Продавец:
kircks
Модель: 1275740
Наличие: Есть в наличии
79р.
Купить
0 отзывов
/
Написать отзыв
Рекомендуемые
🔵BATTLEFIELD 6 PS5 ВЫБОР РЕГИОНА БЫСТРО!🎁
15599р.
Купить
✅MORTAL KOMBAT 1 KHAOS REIGNS EXPANSION❤️XBOX🔑КЛЮЧ✅
894р.
Купить
✅ Marvel's Spider-Man 2 - STEAM КЛЮЧ 🔑 СНГ (Без РФ)
0р.
Купить
・Hogwarts Legacy + 450 игр + ПОДАРОК・ПК・НА ВАШ АККАУНТ・
99р.
Купить