Цель расчетов – определить, во что реально обходится пользование банковским кредитом. Автор рассматривает основные затраты, которые должен быть готов понести кредитополучатель, соглашаясь на кредит в банке.
Цитата: "Обращаясь в банк за кредитом, мы ни в коем случае не должны забывать, что банки берут «дополнительные» деньги за свои услуги помимо процентов за пользование кредитом (в разных банках суммы могут меняться): ежемесячное обслуживание кредита от 10$ и выше, за оформление кредита - 47$, за выпуск и сервисное обслуживание кредитной карточки банк с вас возьмет около 23$" и т.д.
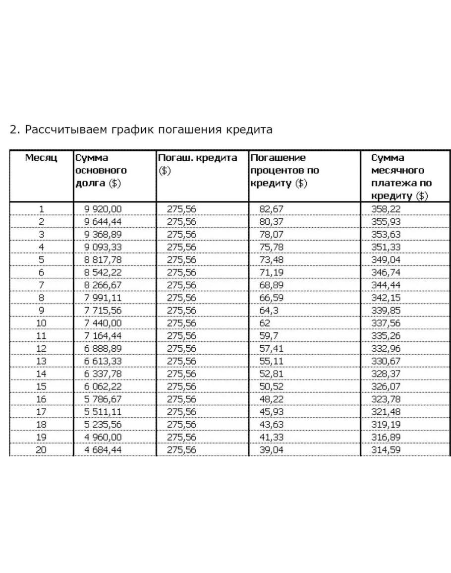
После прочтения данной статьи читатель сможет сам произвести быструю (не вдаваясь в серьезные финансовые расчеты) оценку реальной стоимости банковского кредита.
Цитата: "Обращаясь в банк за кредитом, мы ни в коем случае не должны забывать, что банки берут «дополнительные» деньги за свои услуги помимо процентов за пользование кредитом (в разных банках суммы могут меняться): ежемесячное обслуживание кредита от 10$ и выше, за оформление кредита - 47$, за выпуск и сервисное обслуживание кредитной карточки банк с вас возьмет около 23$" и т.д.
После прочтения данной статьи читатель сможет сам произвести быструю (не вдаваясь в серьезные финансовые расчеты) оценку реальной стоимости банковского кредита.
Стоит ли связываться с банками? или берем кредит на пок
- Продавец: BelERP.com
- Модель: 373305
- Наличие: Есть в наличии
-
28р.





