1. Телефонный номер состоит из 6 цифр. Какова вероятность того, что в нем все цифры: а) различны; б) одинаковые; в) нечетные? Известно, номер телефона не начинается с цифры ноль.
2. К кладу ведут 4 дороги. Вероятность погибнуть на первой дороге равна 0,2, на второй – 0,4, на третьей – 0,2, на четвертой – 0,4. Найти вероятность того, что кладоискатель не доберется до клада, если дорога выбирается неудачу.
3. Имеется возможность вложить деньги в акции одного из трех предприятий. Вероятность того, что акции первого предприятия в течение месяца упадут, равна 0,5, второго – 0,3, третьего – 0,7. Известно, что купленные акции упали в цене. Какова вероятность, что это были акции первого предприятия, если вопрос: «Акции какого предприятия покупать?» решался наудачу.
4. Охотник, имея 5 патронов, стреляет в дичь до первого попадания. Вероятность попадания при первом выстреле равна 0,7 и убывает с каждым выстрелом на 0,1. Составить закон распределения израсходованного боезапаса. Найти М(Х), D(X), σ(X) и F(X) израсходованного боезапаса.
5.Дана функция распределения случайной величины Х
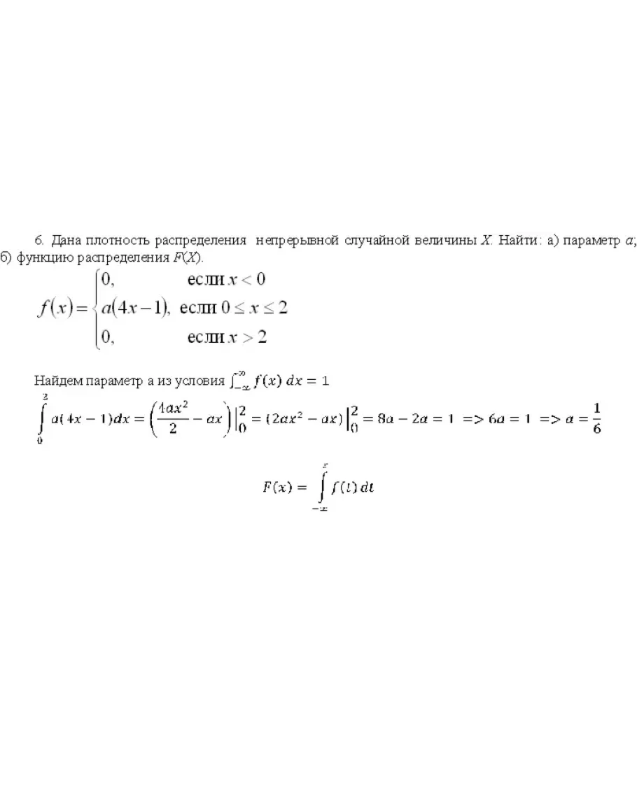
6. Дана плотность распределения непрерывной случайной величины Х. Найти: а) параметр а; б) функцию распределения F(X).
7.Сдается 240-квартирный дом. Вероятность того, что в одной квартире будут обнаружены строительные недоделки, равна 0,3. Найдите вероятность того, что недоделки будут обнаружены не более чем в 30 квартирах.
2. К кладу ведут 4 дороги. Вероятность погибнуть на первой дороге равна 0,2, на второй – 0,4, на третьей – 0,2, на четвертой – 0,4. Найти вероятность того, что кладоискатель не доберется до клада, если дорога выбирается неудачу.
3. Имеется возможность вложить деньги в акции одного из трех предприятий. Вероятность того, что акции первого предприятия в течение месяца упадут, равна 0,5, второго – 0,3, третьего – 0,7. Известно, что купленные акции упали в цене. Какова вероятность, что это были акции первого предприятия, если вопрос: «Акции какого предприятия покупать?» решался наудачу.
4. Охотник, имея 5 патронов, стреляет в дичь до первого попадания. Вероятность попадания при первом выстреле равна 0,7 и убывает с каждым выстрелом на 0,1. Составить закон распределения израсходованного боезапаса. Найти М(Х), D(X), σ(X) и F(X) израсходованного боезапаса.
5.Дана функция распределения случайной величины Х
6. Дана плотность распределения непрерывной случайной величины Х. Найти: а) параметр а; б) функцию распределения F(X).
7.Сдается 240-квартирный дом. Вероятность того, что в одной квартире будут обнаружены строительные недоделки, равна 0,3. Найдите вероятность того, что недоделки будут обнаружены не более чем в 30 квартирах.
Теория вероятностей и математическая статистика
- Продавец: ИФЦ Студия
- Модель: 1958331
- Наличие: Есть в наличии
-
803р.






